Липидные зонды

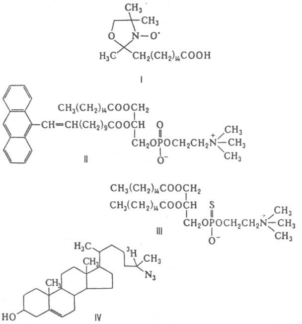
ЛИПИДНЫЕ ЗОНДЫ, липиды, несущие "репортерные" группы (метки) - спиновые, флуоресцентные и др., - поведение к-рых в изучаемой системе можно регистрировать к.-л. методом (обычно спектральным). Осн. требования к меткам в липидных зондах - чувствительность к микроокружению, возможность надежного наблюдения за ее поведением, внесение меткой в наблюдаемую систему миним. возмущений. наиб. часто применяют спиновые, флуоресцентные и фотореактивные метки, а также метки для спектроскопии ЯМР. Липиды, меченные радиоактивными атомами, к липидным зондам обычно не относят. Спиновые (свободнорадикальные) липидные зонды содержат группировку с неспаренным электроном (применяются исключительно нитроксильные радикалы; см., напр., соед. ф-лы I). Параметры спектра ЭПР несут информацию о подвижности и ориентации окружающих липидные зонды молекул и их частей, об окружающих электрич. и магн. полях (см. также Спинового зонда метод).
580_600-26.jpg
Флуоресцентные липидные зонды содержат группировку, обусловливающую флуоресценцию соед. (II). Параметры спектров таких липидных зондов (интенсивность испускания, поляризация и др.) позволяют получать данные о подвижности и упорядоченности отдельных молекул и надмолекулярных структур (напр., участков биол. мембран), о взаимод. молекул и св-вах окружения (напр., полярности) липидных зондов в изучаемой системе. Флуоресцентные липидные зонды также применяют для изучения распределения и метаболизма липидов в клетках и тканях. ЯМР-липидные зонды содержат атомы (напр., дейтерий, фтор) или группировки (напр., фосфотионовую; III), чьи сигналы ЯМР могут быть выделены из сигналов компонентов изучаемой системы. С помощью таких липидных зондов получают информацию о подвижности и упорядоченности молекул и их частей, об анизотропии и нек-рых др. св-вах изучаемой системы. Временная шкала (временные интервалы, в пределах к-рых движения метки регистрируются изменениями спектральных параметров) для спиновых липидных зондов составляет обычно 10-9-10-6с, флуоресцентных - 10-10-10-6 с, ЯМР-липидных зондов -10-6-10-4с. Имеются методы, к-рые могут расширить эти пределы до 10-12-10-13 с. Фотореактивные (фотоактивируемые, фотоаффинные) липидные зонды, как правило, несут и радиоактивную метку (см. напр., соед. ф-лы IV). При освещении светом с определенной длиной волны эти липидные зонды образуют в изучаемом объекте через промежут. реакционноспособные состояния (обычно карбены или нитрены) ковалентные связи (сшивки) с расположенными рядом молекулами. Изучение полученных продуктов (применяют разл. виды хроматографии, электрофорез, масс- и ЯМР-спектроскопию и др.) дает информацию о распределении и характере взаимод. липидов с др. молекулами в изучаемом объекте. Главная область применения липидных зондов - изучение строения и функционирования биол. мембран, клеток и тканей, а также метаболизма липидов.
Литература
Метод спиновых меток. Теория и применение, пер. с англ., М., 1979; Владимиров Ю. А., Добрецов Г. Е., Флуоресцентные зонды в
исследовании биологических мембран, М., 1980; Chowdhry V., "Annual Rev. Biochem.", 1979, v. 48, p. 293 325; Jacobs R. E., Oldfield Е., "Progress in Nuclear Magnetic Resonance Spectroscopy", 1980. v. 14. pt 3, p. 113-36; Membrane spectroscopy, ed. by E. Grell, В., 1981. Ю. Г. Молотковский.