Электрохимический потенциал

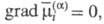
ЭЛЕКТРОХИМИЧЕСКИЙ ПОТЕНЦИАЛ, термодинамич. ф-ция, характеризующая состояние к.-л. заряженного компонента системы в нек-рой фазе6037-16.jpgпри определенных внеш. условиях. По определению, электрохимический потенциал i-го компонента (ni - его число молей) равен:

6037-17.jpg

где6037-18.jpg- электрохим. энергия Гиббса (свободная энергия), учитывающая электрич. поле внутри фазы6037-19.jpgnj - число молей разл. компонентов j этой фазы; Т - т-ра; р - давление.
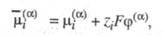
Электрохимический потенциал определяют также как умноженную на число Авогадро работу переноса заряженной частицы i из бесконечно удаленной точки в вакууме в данную фазу6037-20.jpg Формально электрохимический потенциал разбивают на два слагаемых, характеризующих хим. и электрич. составляющие такой работы:

6037-21.jpg

где6037-22.jpg- хим. потенциал частиц i в фазе6037-23.jpgzi - зарядовое число этих частиц;6037-24.jpg- внутр. потенциал фазы6037-25.jpg (см. Межфазные скачки потенциала); F — число Фарадея.
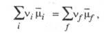
Электрохимический потенциал входит в соотношения, выражающие условия электрохим. равновесия. Так, внутри фазы6037-26.jpg частица i не перемещается, если6037-27.jpg а на границе раздела фаз электрохим. равновесие р-ции vAA + vBB + vcC+ ...6037-28.jpg vLL + vMM + vNN + ... определяется условием:

6037-29.jpg

где vi и vf - стехиометрич. коэф., индекс i указывает исходные компоненты (А, В, С, ...), а индекс f- конечные (L, М, N, ...).

Лит.: Дамаскин Б.Б., Петрий О. А., Электрохимия, М., 1987.

Б. Б. Дамаскин.