Фуксины
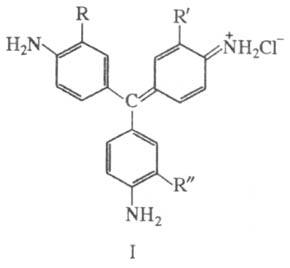
ФУКСИНЫ (назв. по окраске цветов растения Fuchsia), ярко-красные триарилметановые красители общей ф-лы I (R, R', R: = H или CH3). Кристаллы, раств. в воде. Окраски фуксинов отличаются яркостью, но невысокой устойчивостью, особенно к действию света.

Наиб. известны собственно фуксин и фуксин новый. Собственно фуксин представляет собой смесь незамещенного I (пара-розанилин) и его моно- (I; R = CH3, R' = R: = H, розанилин) и диметилзамещенных (I; R = R'= CH3, R: = H); получают его совместным окислением анилина, о- и n-толуидинов нитробензолом (или нитротолуолом) в присут. FeCl3 при 100-175 0C в течение ~ 20 ч.
Фуксин новый (I; R = R'= R: = CH3) получают конденсацией отолуидина с CH2O с послед, окислением образующегося продукта нитробензолом и FeCl3 в присут. о-толуидина до соответствующего бензгидрола и дальнейшей конденсацией с о-толуидином в краситель.
При сульфировании парарозанилина и фуксина олеумом образуются ди- и трисульфокислоты (по одной сульфогруппе в каждом бензольном кольце).
Осн. область применения фуксинов- окрашивание нетекстильных материалов (бумаги, кожи, дерева и др.), приготовление чернил, цветных карандашей, лаков для полиграфии. Водный р-р фуксинсернистой к-ты (см. Шиффа реактив) - аналит. реагент на альдегидную группу.
Лит. см. при ст. Арилметановые красители. В. H. Лисицин.