Фрагментации реакции
ФРАГМЕНТАЦИИ РЕАКЦИИ (от лат. fragmentum - кусок, осколок). Общепринятое определение термина "фрагментации реакции" отсутствует. Наиб. часто под фрагментации реакциями понимают: 1) распад по неск. конкурирующим направлениям мол. ионов орг. и эле-ментоорг. соед., образующихся в камере масс-спектрометра в условиях электронного удара в газовой фазе (см. Масс-спектрометрия).
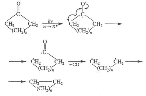
2) Фотохим. расщепление карбонильных соед. в газовой фазе с элиминированием СО (р-ция Норриша, тип I):

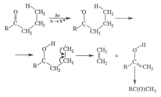
В жидкой фазе карбонильные соед. элиминируют олефины (р-ция Норриша, тип П); р-ция протекает через стадию миграции g-H-атома к атому кислорода возбужденной карбонильной группы; образующийся енол затем изомеризуется в кетон, напр.:

В нек-рых случаях наблюдаются одновременно оба типа превращения, напр.:

В газовой фазе фотохим. фрагментация по р-ции Норриша типа П сопровождается Мак-Лафферти перегруппировкой.
3) Расщепление циклов (обычно в условиях пиролиза) с образованием т. наз. малых молекул (СО, CO2, CH2=CH2, N2 и др.), отличающихся значительной термодинамич. устойчивостью (циклофрагментация, циклораспад), напр.:

В случае соед. с четным числом атомов в цикле подобные р-ции обратны р-циям циклоприсоединения, напр. ретродие-новый синтез (см. Диеновый синтез); в случае соед. с нечетным числом атомов в цикле - обратны хелетропному цикло-присоединению (см. Хелетропные реакции).
4) Распад молекул металлоорг. соед. с образованием восстановленных металлсодержащих частиц (восстановит. фрагментация, или элиминирование, обозначается Fred), напр.:

Процессы подобного типа исключительно важны в гомогенном металлокомплексном катализе с участием Ni, Pd, Pt, Rh и др.
5) Гетеролитич. (или ионные) р-ции отщепления общего вида (символ F):

От обычных р-ций элиминирования они отличаются тем, что катионоидной уходящей группой Z+ м. б. не только протон (см. Элиминирования реакции), но и более сложные группировки, а непредельными фрагментами - олефины, ацетилены, а также их гетероаналоги. Комбинации группировок в соед. могут быть самыми разнообразными (табл.).
ОСНОВНЫЕ ФРАГМЕНТЫ СОЕДИНЕНИЙ, СПОСОБНЫХ К ГЕТЕРОЛИТИЧЕСКОЙ ФРАГМЕНТАЦИИ
| Z (катионоидные уходящце группы) | a— b, c—d (центральные фрагменты) | X (анионоидные уходящие группы) | ||
| H, CR3, RnM, | R2C__CR2, RC=CR, | Cl, Br, I, | ||
| RC(O) и др., | R2C__NR, R2C__O, | SO3R, OCOR, | ||
| | C(O)__O, RC=N, C(O), N=N, HgS и др. | OH2+, NR3+ SR2+, N2+ и др. | ||
Своеобразный вид р-ций F-типа - фрагментация Гроба -расщепление линейных и гетероциклич. g-аминоалкилгало-генидов, при к-ром уходящая группа Z — а — b+ стабилизируется электронной парой Z атома азота, напр.:

Гетеролиз связей Z—a, d—X и b— с может осуществляться по несогласованному мономол. (F1) и согласованному бимол. (F2) механизмам (см. Согласованные реакции). При этом в р-циях типа F2 всегда наблюдается ускорение процессов сольволиза по сравнению с сольволизом аналогичных соед., не претерпевающих фрагментацию.
В случае нек-рых электроноакцепторных p-систем фрагментации реакции могут быть вызваны предварит. нуклеофильной атакой:

Лит.: Ингольд К., Теоретические основы органической химии, пер. с англ., M., 1973, с. 587; Никаноров В.А. [и др.], "Докл. АН СССР", 1975, т. 224, № 2, с. 343-46; Беккер Г., Введение в электронную теорию органических реакций, пер. с англ., M., 1977, с. 283; Реутов О.А. [и др.], "Докл. АН СССР", 1978, т. 239, № 6, с. 1371-74; Grob C.A., "Angew. Chem.", 1967, № 6, p. 1. В.А. Никаноров.
