Фосфористой кислоты амиды
ФОСФОРИСТОЙ КИСЛОТЫ АМИДЫ, соед. общей ф-лы (R2N)3-nP(OH)n, где R = Alk, Ar; n = 0-2.
Наиб. значение имеют производные этих соед.- амидоэфи-ры и галогенангидриды общей ф-лы (R2N)nPX3_n, где X = R'O, R3SiO, Hal, R'S и др.; n = 1-2. Производные кислых фосфористой кислоты амидов-гидрофосфорильные соед. (R2N)nX2-nP(O)H; n = 1-2.
Назв. фосфористой кислоты амидов образуются так же, как назв. фосфитов органических (один из префиксов - назв. амидной группы).
Фосфористой кислоты амиды- жидкости, реже - твердые в-ва; раств. в большинстве орг. р-рителей. Для их идентификации используют гл. обр. методы тонкослойной хроматографии и спектры ЯМР31Р, в к-рых наблюдается синглет в области 120, 135 и 145 м. д.- соотв. для (R2N)3P, RO(R'2N)2P и (RO)2(R'2N)P.
Важная особенность фосфористой кислоты амидов- участие неподеленной электронной пары атома N в сопряжении с атомом P, это проявляется в сильном укорачивании связи P-N и уплощении конфигурации атома азота. Фосфористой кислоты амиды- эффективные фосфорилирующие ср-ва (эти р-ции катализируются слабыми к-тами):
Полярные непредельные соед. внедряются по связи P-N; иногда внедрение дополняется дальнейшими процессами, напр.:

Амиды и их производные проявляют высокую электроно-донорную способность, они легко окисляются, присоединяют S и Se, образуют комплексы с переходными металлами.
Амидоэсриры фосфористой к-ты хорошо алкилируются по р-ции Арбузова. В нек-рых случаях из-за сильного электро-отрицат. воздействия амидогрупп р-ция идет по др. механизму (вместо орг. радикала в молекулу вводится атом галогена):

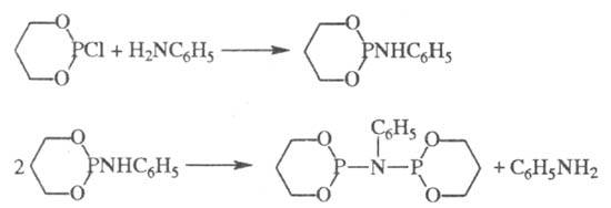
Для получения производных фосфористой кислоты амидов обычно используют р-цию хлорангидридов эфиров фосфористой к-ты со вторичными аминами. Первичные амины, как правило, образуют амиды, склонные к диспропорционированию, напр.:

Фосфористой кислоты амиды применяют в тонком орг. синтезе, при получении фосфорсодержащих полимеров, как, лиганды в координационных соединениях.
Лит.: Нифантьев Э.Е., Химия фосфорорганических соединений, M., 1971, с. 90-103. Э. E. Нифантьев.