Фосфоновые кислоты
ФОСФОНОВЫЕ КИСЛОТЫ, соед. общей ф-лы RP(O)(OH)2, где R - орг. радикал, связанный с атомом P связью C-P.
Фосфоновые кислоты, как правило, гигроскопичные бесцв. кристаллы с четкими т-рами плавления; раств. в воде и полярных орг, р-рителях. Фосфоновые кислоты- двухосновные к-ты средней силы; склонны к димеризации. Для многих из них значения рK1 находятся в области 1,1-2,8, рК2 3,9-8,5.
В спектрах ЯМР 31P хим. сдвиги для фосфоновых кислот лежат в области 5-31 м. д., полосы поглощения связи P = O в ИК спектрах -в области 1150-1220 см -1.
С основаниями фосфоновые кислоты образуют кислые и средние соли (эфиры и соли фосфоновых кислот наз. фосфонатами). Фосфоновые кислоты, содержащие пергалогеналкильные и нек-рые замещенные ароматич. радикалы, реагируют с избытком щелочи с разрывом связи P-C. При длит, нагревании фосфоновые кислоты отщепляют H2O и образуют олигоконденсир. соединения.
Фосфоновые кислоты этерифицируются только в присут. катализаторов (напр., карбодиимидов). Моно- или диэфиры образуются при действии на фосфоновые кислоты диазоалканов, эпоксидов, азиридинов. При действии PCl5, SOCl2 или SF4 образуются соответствующие дигалогенангидриды. Нагревание фосфоновых кислот с их дихлорангидрида-ми приводит к ангидридам фосфоновых кислот.
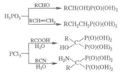
Обычно фосфоновые кислоты получают гидролизом RP(O)X2 (X = Cl, Br, OR, SR, NR2; X2 = О), окислением первичных фосфинов или фосфонистых к-т, при взаимод. фосфористой к-ты с олефи-нами или карбонильными соед., а также в р-циях PCl3 с нитрилами, карбоновыми к-тами, альдегидами и кетонами, напр.:

Аналоги фосфоновых кислот, содержащие атомы S или Se,- обычно малоподвижные жидкости, склонные к разложению при повышенных т-рах и в водных р-рах; они обладают несколько более высокой кислотностью, чем их кислородные аналоги. Многие их св-ва и способы получения такие же, как описаны выше. Специфич. способ синтеза ди- и тритиофосфоновых к-т - взаимод. P4S10 с реактивом Гриньяра с послед. гидролизом:

Тио- и селенофосфоновые к-ты используют в препаративной практике.
Большинство фосфоновых кислот не обладает значит, физиол. активностью. Нек-рые из них, напр. фосфономицин (ф-ла I), активны против внекишечных гельминто-зов и проказы; фосфонуксусная к-та HOOCCH2P(O)(OH)2 обладает выраженной активностью по отношению к нек-рым вирусам.

О применении фосфоновых кислот см. Нитрилотриметиленфосфоновая кислота и Оксиэтилидендифосфоновая кислота.
Лит.: Нифантьев Э.Е., Химия фосфорорганических соединений, M., 1971, с. 233-59; Freedmann L., D oak G., "Chem. Rev.", 1957, v. 57, № 3, p. 479-523; Worms K., S chmidt-Dunker M., в кн.: Organic phosphorus compounds, eds. G. Kosolapoff, L. Maier, v. 7, N. Y., 1976, p. 1-486.
Г. И. Дрозд.