Тетрагидрофолатдегидрогеназа
ТЕТРАГИДРОФОЛАТДЕГИДРОГЕНАЗА (5,6,7,8-тетра-гидрофолат: НАДФ оксидоредуктаза, дигидрофолатредук-таза), фермент класса оксидоредуктаз, катализирующий восстановление дегидрофолиевой к-ты (Н2-фолат) в тетра-гидрофолиевую (Н4-фолат; ф-лу фолиевой к-ты см. в ст. Фолацин):
НАДФН + Н2-фолат : НАДФ + Н4-фолат
НАДФН и НАДФ соотв. восстановленная и окисленная формы кофермента никотинамидадениндинуклеотид-фосфата.
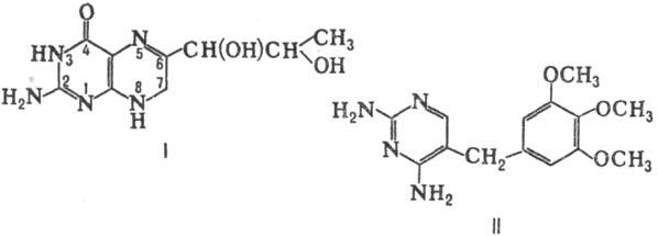
Тетрагидрофолатдегидрогеназа из нек-рых источников катализирует медленное восстановление фолиевой к-ты в Н4-фолат. Фермент катализирует также восстановление 7,8-дигидробиоптерина (ф-ла I) в 5,6,7,8-тетрагидробиоптерин.

Фермент содержится в тканях животных и растений, а также в микроорганизмах. Тетрагидрофолатдегидрогеназа-обычно мономер с мол. массой, колеблющейся (в зависимости от источника) в пределах от 18 до 20 тыс. В составе бактериофага Т4 фермент находится в виде димера с мол. м. 44,5 тыс.
Предпочтительным донором атомов H в р-циях, катализируемых тетрагидрофолатдегидрогеназой, служит НАДФН; сродство тетрагидрофолатдегидрогеназы к никотинамидадениндинуклеотиду (НАДН) на порядок ниже. Комплекс тетрагидрофолатдегидрогеназы НАДФН имеет более высокое сродство к Н2-фолату и фолиевой к-те, чем своб. фермент. Тетрагидрофолатдегидрогеназа имеет две области рН, при к-рой возрастает его активность,-одна при рН 4, другая (менее выраженная) при рН 7,2-7,4. Первичная структура тетрагидрофолатдегидрогеназы из разл. источников отличается незначительно; вторичная структура тетрагидрофолатдегидрогеназы и ее роль во взаимод. с субстратами и ингибиторами хорошо изучены.
Активность тетрагидрофолатдегидрогеназы в лейкозных и др. злокачеств. клетках значительно выше, чем в нормальных клетках. Ингибиторы тетрагидрофолатдегидрогеназы (метотрескат и его аналоги; см. Противоопухолевые средства)применяют для лечения острых лейкозов, злокачеств. опухолей и псориаза. Др. ингибитор тетрагидрофолатдегидрогеназы (триметоприм, II) в комбинации с метотрескатом используют для лечения тяжелых инфекц. заболеваний.
Лит.: Blackley R.L., в кн.: Folates and pterins, v. 1, Chemistry and biochemistry of folates, ed. by R.L. Blackley and S.J. Benkovic, N.Y., 1984.
Ю. В. Букин.