Сульфофталеины
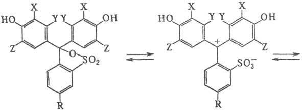
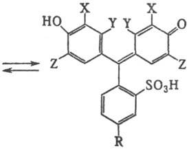
СУЛЬФОФТАЛЕИНЫ (СФ), группа орг. соед., включающая фенолсульфофталеин {S,S-диоксид 1,1-бис-(4-гидрокси-фенил)бензо[с] [1,2]оксатиола; в ф-ле X = Y = Z = R = H} и его производные. В р-ре могут существовать в трех таутомерных формах (см. ф-лы); преобладание одной из них зависит от природы р-рителя и заместителей.


СФ относительно простого строения получают взаимод. ангидрида о-сульфобензойной к-ты с фенолами в присут. водоотнимающих агентов. Многие СФ применяют в качестве кислотно-основных индикаторов (см. табл.).
СФ, содержащие комплексообразующие группы Z = CH2N(CH2COOH)2 (сульфофталеинкомплексоны, см. Фта-лексоны), ОН, СООН и др., применяют в качестве метал-лохромных индикаторов и реагентов для фотометрич. определения ионов металлов. К этой группе СФ относят, в частности, ксиленоловый оранжевый, метилтимоловый синий, пирокатехиновый фиолетовый, сульфохром (в ф-ле Z = СООН, X = СН3, Y = H, R = SO3H; определяемые элементы-Be, Al, Sc, Ga), эриохромцианин (X = CH3, Z = СООН, Y = R = H; определяемые элементы Th, Sc, Y, Ga, Al, La, Mg, Ca, Fe, Cu, Zr, Ti, U) и n-ксиленолфталексон S (Y = Z = CH3, X = CH2N(CH2COOH)2; определяемые элементы Pb, Zn, Cd, Cu, Co, Mn, Ce, Hg).
Лит.: Индикаторы, под ред. Э. Бишопа, пер. с англ., т. 1, М., 1976; Инцеди Я., Применение комплексов в аналитической химии, пер. с англ., М., 1979; Коренман И.М., Органические реагенты в неорганическом анализе. Справочник, М., 1980; Мчедлов-Петросян Н.О. [и др.], "Докл. АН СССР", 1985, т. 284, № 2, с. 394-98; Мураховская А. С., "Ж. аналит. химии"; 1986, т. 41, № 4, с. 629-38. С У. Крейнгольд.