Реформатского реакция
РЕФОРМАТСКОГО РЕАКЦИЯ, получение эфиров b-гидроксикарбоновых к-т взаимод. альдегидов или кетонов с эфирами a-галогенкарбоновых к-т в присут. Zh (т. наз. классическая Реформатского реакция):

В р-цию вступают разл. альдегиды и кетоны (насыщенные или ненасыщенные, ароматические, галогензамещенные и др.). Второй компонент - обычно эфиры a-бромкарбоновых к-т (a-хлорэфиры малоактивны, а соответствующие иодиды малодоступны). Р-ция экзотермична; ее осуществляют в безводном диэтиловом эфире, ТГФ или диоксане, либо в ароматич. р-рителе (бензоле, толуоле, ксилоле и др.). Цинк (обычно в виде мелкодисперсного порошка) предварительно активируют; выходы р-ции возрастают, если использовать амальгаму Zn или Zn, получаемый in situ при восстановлении его галогенидов интеркалатом калия в графите. Р-ция инициируется с помощью I2 или CH3MgI. Выход эфиров b-гидроксикарбоновых к-т составляет 50-75%.
Механизм р-ции включает образование промежут. цинкорг. соединений (реактива Реформатского), напр.:

Осн. побочные р-ции: 1) р-ция Вюрца, в к-рую могут вступать галогенэфиры карбоновых к-т, напр.:

2) альдольная или кротоновая конденсация карбонильного соед., напр.:

3) енолизация карбонильного соед., напр.:

4) дегидратация b-гидроксиэфира карбоновой к-ты.
Последняя р-ция в сочетании с Реформатского реакцией может рассматриваться как метод синтеза a,b-ненасыщенных сложных эфиров карбоновых к-т.
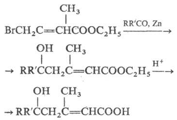
Вместо эфиров b-гидроксикарбоновых к-т в Реформатского реакции могут использоваться их виншюги, а также др. соед., содержащие активир. атом галогена (напр., HalCH2C(O)NR2, HalCH2CH=CHCN, Hal3CCOOR). В этих случаях часто вместо Zn в качестве катализатора применяют Аl (в этом случае р-цию наз. Также синтезам Годемара; разработана М. Годемаром в 1974).
При использовании винилогов эфиров a-галогенкарбоно-вых к-т (эта р-ция м. б. использована для синтеза каро-тиноидов) образуются d-гидрокси-a,b-ненасыщенные к-ты:

Сложные эфиры d-гидроксикислот при гидролиза легко дегидратируются или претерпевают ретроальдольный распад. Поэтому в этом синтезе обычно используют трет-бутиловые или триметилсилиловые сложные эфиры, к-рые гидролизуются до к-т в мягких условиях.
В орг. синтезе иногда используют соли лантаноидов, что позволяет осуществлять р-ции, к-рые не идут в присут. Zn, напр. с пространственно затрудненными ацетофенонами:

В р-ции, подобной Реформатского реакции, вместо альдегидов и кетонов используют др. карбонилсодержащие соед. (сложные эфиры, ангидриды и галогенангидриды к-т, кетены и др.), а также азометины. Таким путем получают мн. важные классы орг. в-в, напр. кетокислоты и лактамы:

Реформатского реакцию широко используют в лаб. синтезе. Р-ция открыта С.Н. Реформатским в 1887.
Лит.: Шрайнер Р., в сб.: Органические реакции, пер. с англ., сб. 1, М., 1948, с. 9-52; Общая органическая химия, пер. с англ., т. 4, М., 1983, с. 163-64; RathkeM.W., в сб.: Organic reactions, v. 22, N.Y.-[а.о.], 1975, p. 423-60; Houben-Weyl, Bd VII/2a, 1973, S. 599-600, 617; Bd VII/2b, 1976, S. 1972; "J. Org. Chem.", 1983, v. 48, № 22, p. 4108-111; Nagasawa K. [a.o.], "Tetrahedron Lett.", 1985, v. 26, № 52, p. 6477-80; Ogini N. [a.o.], "Chem. Express", 1987, v. 1, № 8, p. 495-98. А. А. Соловьянов.