Питатели
ПИТАТЕЛИ, устройства для равномерной и регулируемой подачи сыпучих материалов (или штучных изделий) из бункеров и др. загрузочных приспособлений к транспортирующим либо технол. агрегатам. Питатели могут быть иногда использованы как объемные дозаторы. По конструкции различают транспортерные, лотковые, плунжерные, барабанные, шнековые, тарельчатые, вибрационные и иные питатели. Их наиб. важные характеристики приведены в табл.
ОСНОВНЫЕ ХАРАКТЕРИСТИКИ ПИТАТЕЛЕЙ
| Питатель | Движение рабочего органа | Подаваемый материал | ||
| Транспортерный | Поступательное | Порошковый, хлопьевидный, волокнистый, кусковой | ||
| Лотковый | Колебательное | Крупнозернистый, кусковой | ||
| Плунжерный | Возвратно-поступатель-ное | Порошковый, мелкозернистый | ||
| Барабанный | Вращательное вокруг го-ризонтальной оси | Грубый порошок, зернистый, мелкокусковой | ||
| Шнековый | Вращательное | Порошковый, мелкозернистый | ||
| Тарельчатый | Вращательное вокруг вертикальной оси | Порошковый, мелкозернистый | ||
| Вибрационный | Колебательное | Порошковый, зернистый, кусковой, хлопьевидный | ||
Транспортерные питатели подразделяют на ленточные и пластинчатые. В первых несущими элементами служат транспортерные ленты, во вторых - соединенные между собой металлич. пластины. Производительность питателей (м3/ч) определяют по ф-ле:

где D и n-диаметр (м) и частота вращения (с-1) барабана транспортера; b и h - ширина и толщина (м) слоя материала на ленте (пластинах). Обычно производительность ленточных питателей составляет до 180 м3/ч, пластинчатых-650 м3/ч. Мощность электродвигателя, как правило, до 20 кВт.
Ленточные питатели применяют в осн. для подачи сухих дробленых и молотых материалов, пластинчатые-кусковых материалов.
Лотковые (качающиеся) питатели. В подвесных питателях лоток подвешивается на тягах (рис. 1,а)и получает колебат. движение от эксцентрикового механизма. Такие устройства используют преим. для подачи легких сыпучих материалов (напр., соды) с насыпной плотн. до 1000 кг/м3 и размером кусков до 500 мм. Кареточные питатели имеют аналогичный привод, но лоток установлен на роликовые опоры (рис. 1,б); их применяют для подачи абразивных материалов с насыпной плотн. до 2500 кг/м3 и размером кусков до 200 мм. Производительность лотковых питателей 8-50 т/ч, мощность электродвигателя 1,5-4,5 кВт.

Плунжерные питатели (рис. 2) осуществляют перемещение и подачу материалов за счет поступат. движения т. наз. подавателя. Изменяя его ход, можно регулировать производительность питателей (до 5 м3/ч).

Барабанные питатели чаще всего бывают ячейковые (рис. 3,а) или секторные (рис. 3,6). При вращении барабана (частота до 5с-1) его ячейки (секции) заполняются материалом, а при повороте на 180° разгружаются. Число ячеек 3-12. Для улучшения разгрузки внутрь барабана иногда закладывают шары или устанавливают вибровозбудители, предупреждающие также свободообразование в бункерах. Производительность питателей (0,05-6 м3/ч) находят по ф-ле:

где V и i-объем (м3) и число ячеек; n-частота вращения барабана (с-1); f-коэф. разрыхления материала. Мощность электродвигателя до 0,4 кВт.
. 
Шнековые (винтовые) питатели. Рабочий орган-шнек или винт с постоянным шагом либо шагом, увеличивающимся в направлении движения материала, что позволяет избежать его спрессовывания. При необходимости нагревания или охлаждения поступающего материала корпус питателя снабжается спец. рубашкой, а вал и шнек выполняются полыми для подачи в них теплоносителя либо охлаждающего рассола. Производительность питателей (обычно 0,5-8 т/ч) рассчитывают по ф-ле:

где D, t и n-диаметр (м), шаг (м) и частота вращения (с-1) шнека. Мощность электродвигателя 1,5-5 кВт.
Шнековые питатели могут использоваться для подачи, наряду с указанными в табл., грубых порошковых материалов, если допускается нек-рое их истирание.
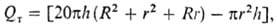
Тарельчатые (дисковые) питатели изготовляют в зависимости от условий применения в подвесном или опорном исполнении с подвижной обоймой (рис. 4,a) либо с поворотным скребком (рис. 4,б). Производительность питателей (до 15 м3/ч) находят по ф-ле:

где R, h и r-радиус тарелки у основания конуса материала, высота его кольца и радиус верх. кромки среза последнего; n-частота вращения тарелки (обычно
Мощность электродвигателя 0,5-0,8 кВт.
Тарельчатые питатели используют, как правило, для подачи сухих материалов.
Вибрационные питатели состоят из грузонесущего органа (желоба, лотка), свободно опирающегося или подвешенного на упругих опорах к несущей конструкции, и вибровозбудителя, сообщающего ему направленные колебания для обеспечения перемещения материала. Наиб. распространены электромагн. и инерционные вибровозбудители (см. Вибрационная техника). Грузонесущие органы при подаче пылящих и токсичных материалов герметизируются. Производительность питателей (до 2000 т/ч) определяется выражением:

где F-площадь сечения потока материала на лотке (м2). Среднюю скорость вибротранспортирования (0,2-0,6 м/с) находят по ф-ле:

где kп-коэф. передачи скорости (0,45-0,9); kт-коэф. толщины слоя (0,75-1,0); kу-коэф., учитывающий угол наклона лотка (0,75-1,0); А -амплитуда вибраций (м); w-частота (рад/с) вынужденных колебаний; b-угол вибрации (обычно 25-30°)· Мощность электродвигателя до 16 кВт.
Вибрационные питатели-универсальные устройства для подачи практически любых сыпучих материалов, кроме липких и влажных.
Лит.: Сапожников M.Я., Дроздов H.E., Справочник по оборудованию заводов строительных материалов, 3 изд., M., 1970; Александров M. П., Подъемно-транспортные машины, 6 изд., M., 1985; Варсонофьев В. Д., Кольман-Иванов Э.Э., Вибрационная техника в химической промышленности, M., 1985. Э.Э. Кольман-Иванов.