Олефинов оксиды
ОЛЕФИНОВ ОКСИДЫ (оксираны, алкиленоксиды, a-окиси), соед. общей ф-лы I, где R - R''' = Н, Alk, Ar.

Называют олефинов оксиды как производные простейшего олефинов оксида-оксирана (этиленоксида, в ф-ле I R-R''' = Н) или по назв. соответствующего олефина, напр. метилоксиран, или пропиленоксид. Олефинов оксиды, кроме этиленоксида,-жидкости или твердые в-ва (см. табл.) с легким эфирным запахом; хорошо раств. в орг. р-рителях, низшие-в воде. По сравнению с простыми эфирами или углеводородами близкой мол. массы олефинов оксиды кипят при более высоких т-рах. В ИК спектре характеристич. полосы поглощения в области 1250см-1 (валентные колебания кольца), 950-810 см-1 и 840-750 см-1.
Длина связи С—С 0,147 нм, С—О 0,144 нм, внутр. угол СОС 61°24'; для этиленоксида
6,27·10-30 Кл·м.
СВОЙСТВА НЕКОТОРЫХ ОКСИДОВ ОЛЕФИНОВ
| Соединение | Мол. м. | Т. пл., оС | Т. кип., °С | | | ||
| Этиленоксид | 44,05 | -112 | 10,7 | 0,8827 | 1,3646 | ||
| Пропиленоксид | 58,05 | -112 | 34,3 | 0,8311 | 1,3660 | ||
| 1-Бутиленоксид | 72,11 | - | 63,3 | 0,837 (17°С) | 1,3851 | ||
| транс-2-Бутиленоксид | 72,11 | -32,6 | 54,2 | 0,8043 (10оС) | 1,3739 | ||
| цис-2-Бутилепоксид | 72,11 | -30 | 60,5-60,67 | 0,8260 | 1,3825 | ||
| Изобутиленоксид | 72.11 | - | 52,0 | 0,8112 | 1,3730 | ||
| Стиролоксид | 120,11 | - | 192,0 | 1,0523 | 1,5331 (25 оС) | ||
| Бензилэтиленоксид | 134,13 | - | 98-100/17 мм рт. ст. | 1,006 | - | ||
| Цнклопентеноксид | 84,19 | - | 10,2 | | 1,4330 (29 °С) | ||
| Циклогексеиоксид | 98,15 | - | 131 | 0,9663 | 1,4519 | ||
| 3-Метилциклогексеноксид | 112,17 | - | 143-144 | 0,93 | - | ||
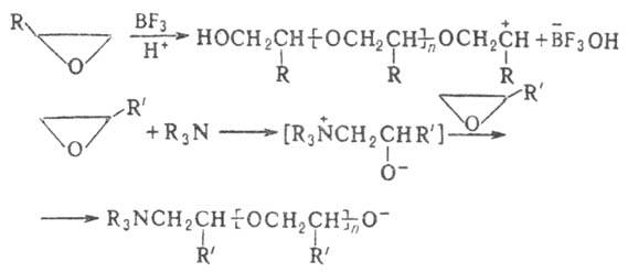
Хим. св-ва олефинов оксидов определяются их высокой реакц. способностью, связанной с относит, легкостью размыкания напряженного 3-членного цикла. Для олефинов оксидов характерны р-ции присоединения, протекающие с разрывом цикла гл. обр. по связи С—О. Так, нагревание олефинов оксидов с водой в присут. кислотных и основных катализаторов протекает с образованием гликолей. В первом случае оно идет через промежут. оксониевый катион:

При нуклеоф. атаке р-ция идет через промежут. алкоксид-ный анион с послед. присоединением протона:

При этом направление атаки зависит от кислотности среды. Так, для алкилзамещенных олефинов оксидов в кислой среде атака идет по наиб. замещенному атому С, в основной или нейтральной - по наим. замещенному. Стереоселективность раскрытия цикла зависит также от стерич. факторов и полярности р-рителя.
С галогеноводородами олефинов оксиды образуют галогенгидри-ны, со спиртами-простые эфиры гликолей, с NH3 и аминами - аминоспирты.
Олефинов оксиды при нагр. или в присут. нек-рых катализаторов изомеризуются в альдегиды или кетоны. Так, при изомеризации этиленоксида образуется ацетальдегид, при изомеризации пропиленоксида - смесь пропионового альдегида, ацетона и аллилового спирта. Соотношение продуктов зависит от условий р-ции: при 240-280 °С в присут. паров воды, SiO2, Аl2О3 или квасцов в реакц. смеси содержится ок. 85% пропионового альдегида; при катализе Li3PO4 при 250 °С содержание аллилового спирта увеличивается.
При восстановлении LiAlH4 обычно преобладает атака по наим. замещенному атому оксиранового цикла. Над никелевыми и др. катализаторами при большом избытке Н2 с добавлением до 10% водяного пара идет гидрирование в соответствующий вторичный спирт.
Олефинов оксиды при нагр. в присут. катализаторов катионной и анионной полимеризации (напр., металлоорг. соед., щелочей, аминов, к-т Льюиса и т.д.) превращаются в простые полиэфиры (см. также Полиэтиленоксид), напр.:

Наиб. высокомол. полимеры образуются при анионной полимеризации в присут. гетерог. катализаторов-щел.-зем. металлов, оксидов Mg, Be, амидов, карбонатов и сульфатов Са, Sr и Ва.
Получают олефинов оксиды эпоксидированием - гл. обр. окислением олефинов орг. надкислотами (надуксусной, надпропионовой и др.) по Прилежаева реакции. Эпоксидирование олефинов осуществляют иногда с использованием гидропероксидов этилбензола, изопропилбензола в присут. более легко окисляемых соед., напр, альдегидов. В последнем случае активный кислород окисляет альдегид в пероксид, реагирующий затем с олефином. В пром. масштабе эти методы используют для получения пропиленоксида.
Применяют также и др. методы эпоксидирования, напр. Дарзана реакцию и циклодегидрогалогенирование a-хлор-гидринов под действием щелочей:

Др. препаративные методы получения олефинов оксидов-дегидратация а-гликолей, конденсация диазометана с кетонами или альдегидами. Особое место занимает гетерог. окисление этилена на серебряном катализаторе, используемое как пром. способ получения этиленоксида. В пром. масштабе получают также оксиды стирола и бутилена.
Токсичность низших олефинов оксидов значительна и, как правило, снижается с увеличением мол. массы.
Олефинов оксиды - исходные в-ва для получения эпоксидных смол, полимеров, ряда лек. препаратов; применяются в орг. синтезе.
Лит.: Малиновский М. С., Окиси олефинов и их производные, М., 1961; Общая органическая химия, пер. с англ., т. 2, М., 1982, с. 376-391; Comprehensive heterocyclic chemistry, ed. by A. R. Katrizky, v. 7, N. Y.-[a. o.], 1984, p. 95-129; Kirk-Olhmer encyclopedia, 3 ed., v. 9, N.Y., 1980, p. 251-56. Б.Б. Чесноков.











