Карбиновые комплексы переходных металлов
КАРБИНОВЫЕ КОМПЛЕКСЫ ПЕРЕХОДНЫХ МЕТАЛЛОВ, содержат в качестве лиганда карбин (алкилидин) CR, где R - орг. остаток. наиб. изучены моноядерные комплексы ф-лы I, где [М] металл с лигандами. Известны также би- и триядерные комплексы (ф-лы соотв. II и III), в к-рых группа CR занимает мостиковое положение. Большинство комплексов типа I раств. в орг. р-рителях, мн. устойчивы ниже 0°С и разлагаются при 25 °С с образованием ацетиленов. Более устойчивы комплексы типов II и III.
К-ты присоединяются к комплексам с образованием карбеновых комплексов, напр.:
На первой стадии образуются неустойчивые гидридные комплексы, к-рые затем изомеризуются. Нуклеофилы реагируют с комплексами двумя способами, напр.:
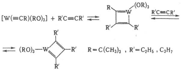
С ацетиленами комплекс образует продукт циклоприсоединения, напр.:
Эта р-ция используется для метатезиса ацетиленов в мягких условиях. При действии фосфинов карбиновый лиганд комплексов взаимод. с др. лигандами, напр., с Со:
Осн. метод синтеза комплексов типа I - действие к-т Льюиса на алкоксикарбеновые комплексы с образованием неустойчивых галогенкарбеновых комплексов, претерпевающих затем окислит. присоединение по связи С-Hal, напр.:
Они м.б. также получены протонированием алленилиденовых комплексов (ур-ние 1), расщеплением связи С=С комплексами металлов подгрупп Va и VIa (2), присоединением электрофилов к тиокарбонильному лиганду (3):
Комплексы II и III получают присоединением координационно ненасыщ. комплексов переходных металлов к комплексам типа I. Впервые карбиновые комплексы переходных металлов получены Э. Фишером в 1973.
Литература
Fischer Е. О., в кн.: Advances in organometallic chemistry, v. 14, N. Y., 1976, p. 1- 31 H. A. Устынюк.
Ещё по теме
Циклопентадиенильные комплексы переходных металлов
Хроморганические соединения — структура, свойства и применение
Циклобутадиеновые комплексы переходных металлов
Олефиновые комплексы переходных металлов
Карбены в химических реакциях