ИПСО-замещение
ИПСО-ЗАМЕЩЕНИЕ (от лат. ipse - сам, самый), вариант замещения в ароматич. ряду, характеризующийся заменой присутствующего в молекуле заместителя на др. группу. Замещение водорода не рассматривается как ипсо-замещение, хотя обратный случай, т.е. замена к.-л. группы на водород, относят к этой р-ции. Ипсо-замещение может протекать по разл. механизмам. К наиб. распространенному случаю ипсо-замещения относят р-ции нуклеоф. замещения, протекающие чаще всего с образованием в качестве интермедиатов анионных s-комплексов. Так, напр., ипсо-замещение происходит при синтезе фенола из бензолсульфокислоты или при Смайлса перегруппировке:
Особенно легко подобному замещению подвергаются ониевые группы (диазониевая, галогенониевая и др.), т. к. в качестве уходящей группы выступает нейтральная молекула, напр., в р-циях Бальца - Шимана (1), Зандмейера (2) и Гаттермана (3):
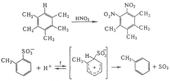
Ипсо-замещение иногда наблюдается и в р-циях электроф. замещения, протекающих с образованием в качестве интермедиатов катионных s-комплексов, напр., при нитровании производных бензола, протодесульфировании арилсульфокислот и др., напр.:
В ряду элементоорг. соед. ипсо-замещение реализуется в р-циях протодеметаллирования, напр.:
Ипсо-замещение может реализоваться также при действии на ароматич. соединения своб. радикалов:
Ипсо-замещение часто наблюдается также в ряду гетероциклич. соединений.
Литература
Общая органическая химия, пер. с англ., т. 1, М., 1981, с. 336-38; т. 3, М., 1982, с. 406; Traynham I. G, "J. Chem. Education", 1983, v. 60, № 11, p. 937-41. Д. В. Давыдов.
Ещё по теме
Теле-замещение в органической химии
Присоединения реакции в органической химии
Пероксосоединения — особенности и примеры
Оппенауэра реакция — особенности и применение
Одноэлектронный перенос в химических реакциях
Эпоксидирование в химии — методы и применение
Пероксидазы — свойства и применение
Электрофильные реакции
Пероксидные соединения в органической химии — типы, свойства и применение
Ориентации правила в органической химии
Перекисные соединения — классификация, свойства и применение
p-Электронное приближение в квантовой химии
Приставка эпи- в химии — значение и примеры
Международный союз теоретической и прикладной химии (IUPAC)
Оксониевые соединения и простые эфиры — свойства и реакции