Изопреновые каучуки синтетические

ИЗОПРЕНОВЫЕ КАУЧУКИ СИНТЕТИЧЕСКИЕ (полиизопрены, ПИ, СКИ-3, америпол, европрен, карифлекс, каром, курапрен, натсин, нипол), полимеры изопрена. Наиб. практич. ценность представляют стереорегулярные изопреновые каучуки - аналоги каучука натурального, синтезируемые полимеризацией изопрена в р-ре в присут. катализаторов Циглера - Натты (комплексов соед. Ti с алюминийорг. соед.), а также лития или литийалкилов.
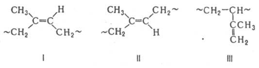
Структура и свойства каучуков. Звенья изопрена в макромолекуле  изопренового каучука могут иметь конфигурации 1,4-циc (I), 1,4-транс (II), и 3,4 (III):
181_200-44.jpg
Соотношение этих звеньев определяется природой катализатора и составляет: 93% 1,4-циc, 1-2% 1,4-транс и 5-6% 3,4 (кат. - литий или литийалкилы); 95-98% 1,4-циc, 1-4% 1,4-транс, 1-2% 3,4 (кат. - комплексы на основе Ti). Описаны катализаторы на основе лантаноидов, в присут. к-рых получают  изопреновые каучуки, содержащие 96-99% звеньев 1,4-цис и 1-4% звеньев 3,4. Среднемассовая мол. масса 181_200-45.jpg каучуков, полученных на литиевых кат., может превышать 2.106, индекс полидисперсности 181_200-46.jpg (181_200-47.jpg - среднечисловая мол. масса). Средневязкостная мол. масса 181_200-48.jpg каучуков, синтезированных на комплексных катализаторах, составляет (0,5-1,0).106, 181_200-49.jpg = 4—10. Стереорегулярные изопреновые каучуки, получаемые на литиевых кат., отличаются высокой линейностью макромолекул, на комплексных - более разветвленным строением и часто содержанием значит. кол-ва (до 20%) гель-фракции (сшитого продукта). Стереорегулярные изопреновые каучуки раств. в углеводородах, их галогенопроизводных, CS2. Плотн. всех типов изопреновых каучуков составляет 0,91-0,92 г/см3; т. стекл. от —68 до — 71 °С (комплексный кат.) и от —65 до — 68 °С (литиевый кат.); плотн. энергии когезии 262-289 МДж/м3. При комнатной т-ре изопреновые каучуки аморфны. Они кристаллизуются при охлаждении (ниже 0°С) или растяжении. Равновесная т-ра плавления кристаллов (28-40°С) возрастает с повышением регулярности цепи; т-ра макс. скорости кристаллизации от -25 до -26°С. Двойные связи в макромолекулах изопреновых каучуков исчерпывающе гидрируются действием на их р-ры в диглиме п-толуолсульфонилгидразида. Хлорированием изопреновых каучуков получают продукт с содержанием до 65% хлора, р-римый в бензоле, толуоле, хлороформе и метилэтилкетоне. При бромировании р-ров изопреновых каучуков в хлороформе (от 0 до —40 °С) образуются дибромиды состава [С5Н8Вr2].
Стереорегулярные изопреновые каучуки в виде р-ров в хлороформе легко присоединяют НСl; процесс может сопровождаться циклизацией. Стереорегулярные изопреновые каучуки циклизуются также при нагр. в присут. n-толуолсульфокислоты, Р2О5 или в условиях р-ции Фриделя Крафтса; образующиеся продукты растворимы. Под влиянием Se, SO2 или сульфолена при нагр. происходит циc-транс-изомеризация двойных связей изопреновых каучуков до равновесной концентрации звеньев 1,4-циc, равной 45%. Аналогичный процесс вызывается компонентами комплексного кат. или УФ облучением. Изомеризация может сопровождаться циклизацией и сшиванием. В присут. инициаторов (бензоилпероксида, азо-бис-изобутиронитрила) или при нагр. до 200-220 °С изопреновые каучуки реагируют с малеиновым ангидридом; р-ция часто сопровождается гелеобразованием.
Стереорегулярные изопреновые каучуки склонны к окислит. деструкции. Поэтому в процессе синтеза их стабилизируют антиоксидантами (1-2 мас. ч.; здесь и далее - в расчете на 100 мас. ч. каучука): окрашивающими (напр., 1,4-дифенил-п-фенилендиамином или его смесью с N-фенил-b-нафтиламином) или неокрашивающими (напр., 2,6-ди-трет-бутил-4-метилфенолом).
Получение каучуков. Для синтеза изопреновых каучуков применяют изопрен, содержащий не менее 99% по массе осн. в-ва; кол-во примесей (простых эфиров, карбонильных, ацетиленовых, серосодержащих соед., воды и особенно циклопентадиена) строго регламентировано. Р-рителями обычно служат алифатич. углеводороды (изопентан, гексан, бензины). Исходная концентрация изопрена в р-ре 10-15% по массе. Полимеризацию осуществляют непрерывным способом в батарее последовательно соединенных реакторов емкостью 16-20 м3, снабженных скребковыми мешалками и рубашкой, через к-рую циркулирует хладагент (энтальпия полимеризации 1050 кДж/кг). Продолжительность процесса при 20-25 °С обычно составляет 2-6 ч, конверсия изопрена может достигать 95%. Заключительные операции технол. процесса: 1) дезактивация кат. (спиртами или др. соед. с подвижным атомом водорода; остатки отмывают водой в колоннах противоточного типа); 2) введение антиоксиданта; 3) выделение полимера из р-ра методом водной дегазации (отгонкой р-рителя и незаполимеризовавшегося мономера с острым паром; для предотвращения слипания образующейся крошки каучука вводят ПАВ); 4) отделение крошки от воды; сушка каучука, брикетирование его и упаковка. Выделение изопреновых каучуков, получаемых в присут. литиевых кат., можно осуществлять "безводным" способом с использованием, напр., герметичных вальцов. В р-р каучука м. б. введены нафтеновое масло и водная или углеводородная дисперсия техн. углерода (сажи). Такие масло- и саженаполненные каучуки обладают улучшенными технол. св-вами (см. Наполненные каучуки).
Технологические характеристики каучуков. Резиновые смеси. Пластичность изопреновых каучуков с содержанием звеньев 1,4-цис до 98% составляет 0,30-0,48, вязкость по Муни (100 °С) - 60-90, маслонаполненных - 40-45. Перерабатывают изопреновые каучуки (часто в смеси с НК, бутадиенстирольным и бутадиеновым каучуками) на обычном оборудовании резиновых заводов - вальцах, смесителях, каландрах (в отличие от НК предварит. пластикация изопреновых каучуков не требуется). В смеси вводят также феноло-формальд. и др. смолы. Резиновые смеси на основе изопреновых каучуков хорошо каландруются, шприцуются и формуются. По когезионной прочности и клейкости они уступают смесям на основе НК. К последним по когезионной прочности приближаются резиновые смеси из изопреновых каучуков, модифицированного на стадии синтеза п-нитрозодифениламином.
Вулканизаторы изопренового каучука
Изделия из изопреновых каучуков вулканизуют, как правило, при т-рах не выше 150°С. Осн. агент вулканизации сера (1-3 мас. ч.); реже применяют тетраметилтиурамдисульфид или орг. пероксиды. Ускорителями серной вулканизации служат ди(2-бензотиазолил)дисульфид, N-циклогексил-2-бензотиазолсульфенамид (сульфенамид Ц) и др. В качестве наполнителей резиновых смесей используют гл. обр. активный техн. углерод (обычно 25-50 маc. ч.), а также мел, каолин, активный SiO2 и др. Наиб. эффективные пластификаторы - минер. масла с высоким содержанием ароматич. и нафтеновых углеводородов, канифоль, кумароно-инденовые смолы
Свойства вулканизатов. По большинству мех. св-в вулканизаты изопреновых каучуков (см. табл.) не уступают резинам из НК (обладают лишь пониженными напряжением при удлинении 300% и сопротивлением раздиру).
Резины из изопреновых каучуков стойки к действию воды, этанола и ацетона, нестойки в конц. к-тах, щелочах, углеводородах и минер. маслах. Электрич. характеристики резин: r 3,4 Том.м, e 3,8, tgd 0,011.
Применение каучуков. Изопреновые каучуки - типичные каучуки общего назначения, применяемые вместо НК гл. обр. в произ-ве шин (часто в комбинации с др. каучуками), а также разл. РТИ (конвейерные ленты, рукава и др.), резиновой обуви, оболочек кабелей и т. д. Мировые мощности по произ-ву изопреновых каучуков достигли 1,3 млн. т/год.
Литература
Энциклопедия полимеров, т. 1, М., 1972, с. 821-27; Стереорегулярные каучуки, пер. с англ., ч. 1-2, М., 1981; Коган Л. М., Кроль В. А, "Ж. Всес. хим. об-ва им. Д. И. Менделеева", 1981. т. 26, № 3. с. 272-80; Кормер В. А., Васильев В. А., в кн.: Синтетический каучук, под ред. И. В. Гармонова, 2 изд., Л., 1983, с. 154-80; Эстрин А. С, Коган Л. М., Кроль В. А., там же, с. 180-193; Brydson J. A., Rubber chemistry, L, 1978. См. также лит. при ст. Изопрен. Б. Д. Бабицкий.