Зайцева правило

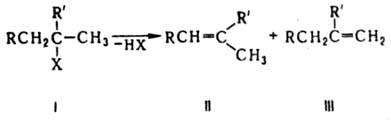
ЗАЙЦЕВА ПРАВИЛО: при дегидратации вторичных и третичных спиртов в присут. сильных к-т и при дегидрогалогенировании вторичных и третичных алкилгалогенидов под действием оснований протон отщепляется преим. от наименее гидрогенизир. атома С с образованием соед. II:
141_160-22.jpg
Элиминирование по Зайцева правилу протекает в ряде случаев при разложении вторичных и третичных солей диазония (X = N2+), а также вторичных и третичных алкил- и арилсульфонатов (X = AlkSO2O, ArSO2O) под действием оснований. В практике орг. синтеза обычно не встречаются примеры р-ций элиминирования, в к-рых Зайцева правило выполнялось бы абсолютно; реально получаются смеси изомерных олефинов ф-л II и III. При элиминировании НХ из соед. I получающийся наиб. замещенный олефин (ф-лы II) наз. образующимся по Зайцева правилу, а терминальный олефин III - образующимся по правилу Гофмана (см. Гофмана реакции). Элиминированию по Зайцева правилу способствует наличие в соед. I легко удаляющейся группы X; способность к такому отщеплению уменьшается в ряду N2+ > I- > Br- > Cl- > TsO- > R2S+ > F- > R3N+ (Ts - CH3C6H4SO2, R - алифатич. радикал). Напр., при обработке 2-бром-, 2-тозилокси- и 2-диметилсульфониобутана этилатом Na в этаноле соотношения образующихся 2-бутена и 1-бутена составляют соотв. 81:19, 65:35 и 26:74. В р-циях, протекающих под действием алкоголятов, элиминированию по Зайцева правилу благоприятствует применение оснований с радикалом небольшого объема. Так, при использовании С2Н5ОК, трет-C4H9OK, трет-С5Н11ОК и (С2Н5)3СОК в р-ции дегидрогалогенирования 2-метил-2-бромбутана соотношения образующихся соед. IV и V составляют соотв. 62:38, 27:73, 22:78 и 11:89:
141_160-23.jpg
Увеличение объема радикалов R и R' в исходном соед. препятствует протеканию р-ции по Зайцева правилу, напр.:
141_160-24.jpg
Образованию олефинов по Зайцева правилу способствует применение биполярных протонных р-рителей. Так, при проведении р-ции
141_160-25.jpg
в этаноле и ДМСО соотношения продуктов VI и VII составляют соотв. 65:35 и 46:54. Правило сформулировано А. М.Зайцевым в 1875. См. также Элиминирования реакции.

Литература
Исп. литература для статьи «ЗАЙЦЕВА ПРАВИЛО
»: Общая органическая химия, пер. с англ., т. I, M., 1981, с. 176, 673, 75; Кери Ф. А., Сандберг Р. Д., Углубленный курс органической химии, пер. с англ., т. 1. М., 1981, с. 249-63 Н. Э. Нифантьев.