Желчные пигменты
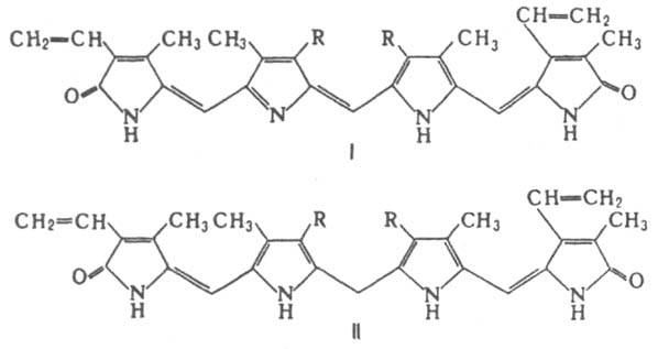
ЖЕЛЧНЫЕ ПИГМЕНТЫ, красящие в-ва, входящие в состав желчи. Представляют собой четыре пиррольных ядра с разл. кол-вом и положением двойных связей и заместителей, линейно соединенных метиленовыми или метиновыми группами; структурно близки порфиринам и хлорофиллам. Цвет желчных пигментов от желто-оранжевого до сине-зеленого. В организме человека и высших животных желчные пигменты образуются в результате окислит. расщепления a-метиновой связи гема (простетич. группы гемоглобина) в печени и др. органах. Первичный продукт расщепления гема биливердин (ф-ла I; R = СН2СН2СООН), мол. м. 582, темные сине-зеленые кристаллы, т. пл. > 300 °С; плохо раств. в метаноле, хлороформе и эфире, lмакс 680 нм. При восстановлении биливердинредуктазой превращается в билирубин II (мол. м. 584), желто-оранжевые или коричневые кристаллы, при нагр разлагаются без плавления, плохо раств. в этаноле и эфире.
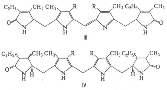
Дальнейшее восстановление соед. II бактериями в кишечнике приводит к смеси изомерных уробилинов (напр., соед. III, мол. м. 590; желтые кристаллы; т. пл. 177 °С; хорошо раств. в метаноле, этаноле, хлороформе, ацетоне, плохо в воде) и уробилиногенов, напр., бесцв. стеркобилиногена IV.
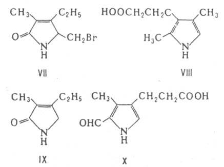
При обработке билирубина солями арилдиазония (р-ция Ван ден Верга) или HNO3 (р-ция Гмелина) также происходит расщепление молекулы с элиминированием центр. метиленового звена и образованием азопигментов; р-ции используют для количеств. определения билирубина. Билирубин и биливердин м. б. синтезированы конденсацией бромметилпирролинона VII с пирролом VIII с послед. окислением образовавшегося продукта или конденсацией пирролинона IX с пирролальдегидом X.
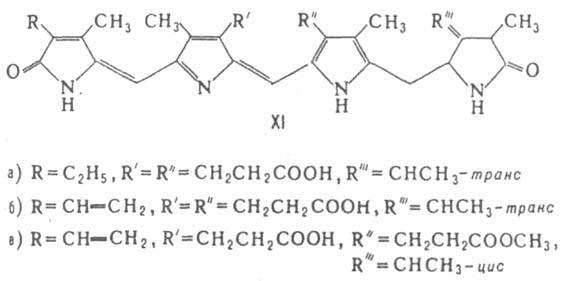
Желчные пигменты (преим. соед. I) содержатся также в желчи птиц, амфибий, включениях протоплазмы нек-рых простейших, губчатых кораллах (Helipova coerrulea); пигменты, похожие на соед. I, найдены в коже гусеницы капустницы и нек-рых др. видов бабочек. В синезеленых и красных водорослях содержатся хромопротеиды, простетические группы к-рых родственны желчным пигментам. Так, из пигмента синезеленых водорослей после гидролиза выделен фикоцианобилин ХIа, при расщеплении протеида красных водорослей в мягких условиях - пигмент фикоэритробилин XIб.
Фитихром ХIв встречается во всех высших растениях и водорослях, является важным фоторегулятором, контролирующим рост, развитие и зацветание растений. В организме желчные пигменты - балластные продукты, выводимые с экскрементами и, частично, с мочой. Однако они, по-видимому, как и др. компоненты желчи, участвуют в переваривании жиров в кишечнике и стимулировании его перистальтики. В организме взрослого человека образуется до 280 мг желчных пигментов в сутки. Нарушение выделения желчных пигментов приводит к заболеванию желтухой, проявляющееся внешне в пожелтении кожных покровов и склер глаз.
Литература
Общая органическая химия, пер. с англ., т. 8, М., 1985, с. 377-82; Gray С. Н., The bile pigments, L. N. Y., 1953; Lemberg R., "Review of Pure and Applied Chemistry", 1956, v. 6, pt 1. p. 1 23; With Т. К., Bile pigments, N. Y. L., 1968; Scheurer P. J., Chemistry of marine natural products, N.Y.L, 1973, p. 140-41 Н. С. Вульфсон.
Ещё по теме
Желчь — функции и состав
Роль печени в пигментном обмене и типы желтух
Распад гемоглобина и образование жёлчных пигментов
Жёлчные кислоты — строение и функции
Процесс деградации порфиринов в организме человека
Тиазиновые красители — свойства и применение
Билирубин — функции, норма и патологии
Органические красители и пигменты — свойства и применение
Пигменты в химии — виды и применение
Хинофталоновые красители — свойства и применение
Роль печени в обмене белков
Зелёный фталоцианиновый пигмент — свойства и токсичность
Жёлтый светопрочный пигмент — свойства и токсичность
Канцерогенные красители — обзор и свойства