Дофамин
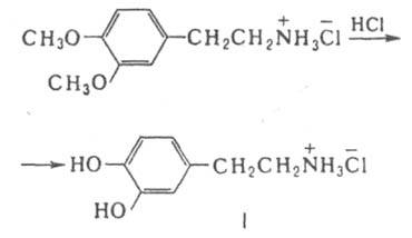
ДОФАМИН [гидрохлорид 2-(3,4-дигидроксифенил)этиламина, допамин, допмин, cardiosteril, ф-ла I], относится к катехоламинам; мол. м. 189,66; бесцв. или с кремовым оттенком кристаллы; т. пл. 245-249 °С; хорошо раств. в воде и этаноле; инактивируется на свету, при действии щелочей и окислителей. Дофамин - промежут. продукт в биосинтезе норадреналина из тирозина. Получают обработкой гидрохлорида гомовератриламина соляной к-той при 100-115 °С:
Дофамин- специфич. нейромедиатор для дофаминовых рецепторов, в больших дозах стимулирует также a- и b-адренорецепторы и т. обр. увеличивает сердечный выброс, вызывая небольшие изменения артериального давления, а также силу и частоту сердечных сокращений без увеличения общего периферич. сопротивления. В отличие от адреналина и норадреналина уменьшает сопротивление сосудов кишечника и почек, увеличивает почечный кровоток и диурез (см. также Адреномиметические средства и Катехоламины). Применяют дофамин как сердечно-сосудистое ср-во.
Литература
"Кардиология", 1981, т. 21, № 6, с. 80-84; Машковский М. Д., Лекарственные средства, 9 изд., М., 1984, ч. 1, с. 304-307; Goldberg L. J., "Pharmacological Reviews", v. 24, № 1, 1972, p. 1-29. Т. К. Трубицина.
*Подобраны с помощью LLM, верифицированы, но возможны неточности.
Синонимы/примеры:*
Дофамин; Допамин; Допмин; 3,4-дигидроксифенилэтиламин; 4-(2-аминоэтил)пирокатехин; 2-(3,4-дигидроксифенил)этиламин; Инотроп; Дофамина гидрохлорид
*подобраны ИИ, возможны неточности
Ещё по теме
Дофамин — действие и применение в медицине
Роль дофамина в организме
Допамин — показания и противопоказания
Дофамин-ферейн — показания, противопоказания, побочные эффекты
Допамин — описание, показания и противопоказания
Норадреналин — свойства и применение
Добутамин — свойства и применение
Допамин гидрохлорид — инструкция по применению
Норадреналин — функции и роль в организме
Допамин Солвей 200 — описание и применение
Гормоны гипофиза — функции и влияние на организм
Нитрозодифениламины — свойства и применение
Фосфаден — свойства и применение
Допамин Солвей 50 — описание и применение
Фосфатидилэтаноламины — строение и биологическая роль
Теофиллин и теобромин — свойства и применение
Леводопа — применение и особенности препарата
Дополнения к описанию дофамина: