Дифосфатидилглицерины
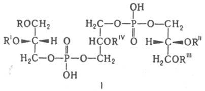
ДИФОСФАТИДИЛГЛИЦЕРИНЫ [1,3-бис-(3-sn-фосфатидил) глицерины; 1,3-бис-(1,2-диацил-sn-глицеро-3-фосфо)-глицерины; кардиолипины], соед. общей ф-лы I, где R, RI, RII и RIII - ацилы высших жирных к-т, RIV = Н. Содержатся в тканях животных, в высших растениях, дрожжах и большинстве бактерий. Один из основных фосфолипидов митохондрий, в к-рых находится гл. обр. во внутр. мембране. Обычно содержание дифосфатидилглицеринов в прир. объектах не превышает 10% от кол-ва всех фосфолипидов; исключение - актиномицеты, у к-рых на долю дифосфатидилглицеринов приходится до 60%.
Прир. дифосфатидилглицерины - вязкие масла или воскообразные в-ва, [a]D от + 5 до +6°, в обычных условиях нестабильны. Под действием р-ров щелочи дифосфатидилглицерины отщепляют остатки жирных к-т и превращаются в 1,3-бис-(sn-глицеро-3-фосфо) глицерин (R = RI = RII = RIII = RIV = Н). Дифосфатидилглицерины единств. известные глицерофосфолипиды, обладающие иммуногенными св-вами, и наиб. ненасыщенная фосфолипидная фракция. В стрептококках обнаружены глюкозилированные дифосфатидилглицерины (RIV = a-D-глюкопиранозил). Биосинтез дифосфатидилглицеринов осуществляется из двух молекул фосфатидилглицерина, при этом ф-цию кофактора выполняет цитидиндифосфатдиацилглицерин. Прир. дифосфатидилглицерины выделяют гл. обр. из сердечной мышцы крупного рогатого скота; для их очистки применяют хроматографич. методы. Хим. синтез дифосфатидилглицеринов: конденсация RCOOCH2CH(OOCRI)CH2OP(=O)(OCH2Ph)OAg с ICH2CH(ORII)CH2I или RCOOCH2CH(OOCRI)CH2I с AgO(PhCH2O)P(=O)OCH2CH(ORII)CH2OP(=O)(OCH2Ph)OAg (R - любой алкил, R - трет-бутил или CH2Ph). Обе р-ции с выходом 65- 75% приводят к [RCOOCH2CH(OOCRI)CH2OP(=O)(OCH2Ph)OCH2]2CHORII, из к-рого после удаления защитных групп получают дифосфатидилглицерины. Для обнаружения дифосфатидилглицеринов в липидных смесях обычно используют тонкослойную хроматографию на силикагеле; количеств. анализ проводят по фосфору. Дифосфатидилглицерины применяют в качестве липидного гаптена при серологич. диагностике сифилиса (р-ция Вассермана). С. Г. Батраков.
Синонимы/примеры:*
Кардиолипин; Бисфосфатидилглицерин
*подобраны ИИ, возможны неточности
Ещё по теме
Фосфатидилглицерины — строение и биологические функции
Фосфоглицериды — строение и функции
Глицерофосфолипиды — строение и функции
Фосфатидилглицерина аминокислотные эфиры — строение и функции
Фосфолипиды и гликолипиды — строение и функции
Фосфатидилэтаноламины — строение и биологическая роль
Фосфатидилсерины — строение, функции и синтез
Фосфатидилхолины — структура, свойства и применение
Фосфолипиды — структура и функции
Фосфоинозитиды — строение и функции
Фосфосфинголипиды — строение и функции
Глицериды — строение и свойства
Биосинтез сложных липидов
Фосфолипиды — строение и свойства