Диамагнетики
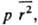
ДИАМАГНЕТИКИ, в-ва, намагничивающиеся навстречу направлению действующего на них внеш. магн. поля. В отсутствие внеш. магн. поля диамагнетики не имеют магн. момента. Диамагнетизм присущ всем в-вам, но поскольку диамагнитная восприимчивость cd (см. Магнитная восприимчивость) по абс. величине мала, его можно наблюдать экспериментально лишь у в-в, атомы (молекулы, ионы) к-рых не обладают собственным постоянным магн. моментом. При помещении в-ва в магн. поле в электронной оболочке каждого из атомов, в силу закона электромагнитной индукции, индуцируются дополнительные (к токам, обусловленным движением электронов по атомным орбиталям) микроскопич. круговые токи, к-рые создают в каждом атоме дополнительный (к собственному) магн. момент, направленный противоположно внеш. магн. полю. Эти дополнит. токи обусловлены тем, что электроны в атомах приобретают дополнит. вращательное движение (наз. прецессией Лармора) вокруг оси, проходящей через центр атома и совпадающей с направлением магн. поля, что и приводит к появлению добавочного магн. момента. Поскольку этот момент направлен навстречу полю, cd всегда отрицательна. В общем случае cd слабо зависит от напряженности магн. поля и т-ры. Для системы изолированных (несвязанных) атомов или ионов cd (в расчете на 1 см3) определяется ф-лой Ланжевена:
где N - число атомов или ионов в 1 см3, e - заряд электрона, m0- масса покоя электрона, с - скорость света в вакууме,
-средний квадрат расстояния i-го электрона от атомного ядра, k - число электронов в атоме или ионе. Сумму
можно заменить на
где р- число электронов внеш. оболочки (дающих наиб. вклад в эту сумму),
-средний квадрат ее радиуса. По известным величинам cd и р можно оценивать размеры атомов или ионов. В металлах и полупроводниках под действием внеш. магн. поля возникает орбитальное движение свободных электронов, что вызывает небольшой добавочный диамагнетизм, наз. диамагнетизмом Ландау. При т-рах, близких к абс. нулю, может наблюдаться осцилляционная зависимость cd от H-1 , где H - напряженность магн. поля (эффект Де Хааза - ван Альфвена). Этот эффект используют для определения эффективной массы носителей заряда и формы пов-сти Ферми для полупроводников и металлов. В кристаллах низкой симметрии cd м. б. анизотропной. К собственно диамагнетикам относятся все инертные газы, Н2, N2, кристаллич. Ge, Si, полупроводниковые соед. типа АШВV (напр., GaAs, InSb), AIIBVI (напр., ZnTe, CdS), нек-рые металлы (напр., Zn, Cu, Ag, Au), многие орг. в-ва (ароматич. и др.). Аномально большую по абс. величине cd = 1/4p имеют сверхпроводники. Однако их диамагнетизм обусловлен не микроскопич, внутриатомными токами, а макроскопич. поверхностными. Лит. см. при ст. Магнитная восприимчивость. Д. Г. Андрианов.
Синонимы/примеры:*
Диамагнетические вещества; Диамагнитные материалы
*подобраны ИИ, возможны неточности
Ещё по теме
Парамагнетизм и свойства парамагнетиков
Магнетохимия — связь между магнетизмом и химией
Ферромагнетики — основные свойства и применение
Ферримагнетики — особенности и применение
Электрокинетические явления — механизмы и применение
Кристаллическое поле в кристаллах
Электрохимические преобразователи информации — принципы и применение
Магнитное вращение плоскости поляризации — закономерности и исследования
Фарадеевский эффект — принципы и применение
Дипольный момент и электрические свойства молекул
Межмолекулярное взаимодействие — природа и типы