Лестничные полимеры
Лестничные полимеры, полимеры со сдвоенной цепью, полимеры с регулярной линейной сеткой, высокомолекулярные соединения полициклической структуры, построенной из конденсированных циклов. Лестничные полимеры получили своё название из-за сходства схемы проекции плоскости макромолекулы с лестницей.
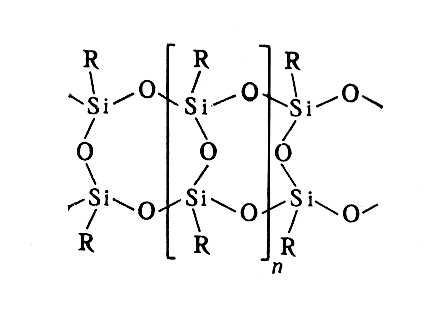
В зависимости от химического состава основной цепи лестничные полимеры могут быть органическими (карбоциклическими и гетероциклическими), элементоорганическими и неорганическими. По термической, химической и радиационной устойчивости лестничные полимеры превосходят линейные полимеры аналогичного состава. Это обусловлено тем, что для разрушения основной цепи макромолекулы линейного полимера достаточно разорвать одну химическую связь (рис., а), в то время как для разрушения цепи лестничных полимеров необходим разрыв двух (рис., б) или более (рис., в) связей. Высокая термостойкость присуща и др. полимерам с регулярным расположением циклов в цепи, связанных друг с другом через один общий атом, — спирополимерам.
Структурные модели и структуры спирополимеров и некоторых лестничных полимеров с регулярной линейной сеткой приведены ниже.
Лестничные полимеры могут быть синтезированы как циклизацией соответствующих линейных полимеров, так и непосредственно полимеризацией или поликонденсацней мономеров.
Техническое применение большинства лестничных полимеров осложняется их недостаточно высокой механической прочностью. Кроме того, лестничные полимеры очень трудно перерабатывать, т. к. они нерастворимы и неплавки. Лестничные полимеры используются в виде волокон, плёнок и покрытий, устойчивых к действию тепла, света, радиации и химических реагентов.

Структурная модель спирополимера

Структурная модель лестничного полимера со сдвоенной цепью.

Структурная модель спирополимера. Неорганический хлористый палладий.

Структурная модель спирополимера. Органический полиспирокеталь.

Структурная модель лестничного полимера со сдвоенной цепью. Структура полимера.

Типы разрывов основных цепей линейных и лестничных полимеров.

Элементоорганический полисилоксан.