Активирование аминокислот
Необходимым условием синтеза белка, который в конечном счете сводится к полимеризации аминокислот, является наличие в системе не свободных, а так называемых активированных аминокислот со своим внутренним запасом энергии. Активация свободных аминокислот осуществляется при помощи специфических ферментов – аминоацил-тРНК-синтетаз – в присутствии АТФ.
Этот процесс протекает в две стадии:

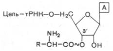
Обе стадии катализируются одним и тем же ферментом. На I стадии аминокислота вступает в реакцию с АТФ, при этом освобождается пиро-фосфат и образуется промежуточный продукт, который на II стадии реагирует с соответствующей 3'-ОН-тРНК, в результате чего образуется аминоацил-тРНК (аа-тРНК) и освобождается АМФ. Аминоацил-тРНК располагает необходимым запасом энергии и имеет следующее строение:

Необходимо еще раз подчеркнуть, что аминокислота присоединяется к свободному концевому 3'-ОН-гидроксилу (или 2'-ОН) АМФ, который вместе с двумя остатками ЦМФ образует концевой триплет ЦЦА, являющийся одинаковым для всех транспортных РНК.