4-бромтолуол
Синонимы:
п-бромтолуол Внешний вид:
ромбические кристаллыБрутто-формула (система Хилла): C7H7Br
Молекулярная масса (в а.е.м.): 171,05
Температура плавления (в °C): 28,5
Температура кипения (в °C): 184,5
Растворимость (в г/100 г или характеристика):
бензол: растворимвода: не растворим
диэтиловый эфир: растворим
этанол: легко растворим
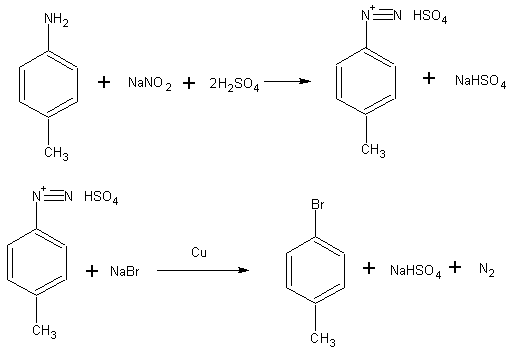
Метод получения 1.
(лабораторный синтез)Источник информации: Агрономов А.Е., Шабаров Ю.С. "Лабораторные работы в органическом практикуме" М., 1974 стр. 198-199

В стакан, охлаждаемый льдом, помещают 21,5 г п-аминотолуола, 40 г (21 мл) концентрированной серной кислоты и 200 мл воды, охлаждают до 0 С и по каплям при перемешивании прибавляют раствор 15 г нитрита натрия в 30-40 мл воды, следя за тем, чтобы не было интенсивного выделения окислов азота (синтез в вытяжном шкафу). По окончании диазотирования проверяют наличие свободного нитрит-иона по иод-крахмальной бумажке. Раствор оставляют стоять на холоду в течение 1 ч при периодическом перемешивании. Проба с иодкрахмальной бумажкой все время должна оставатся положительной.
Далее собирают прибор для перегонки с водяным паром с капельной воронкой. Сначала в колбу, еще не вмонтированную в прибор, помещают 13 г кристаллического сульфата меди (безводного), 4 г порошкообразной меди, 31 г дигидрата бромида натрия, 6 г (3,3 мл) концентрированной серной кислоты и 200 мл воды и нагревают на сетке до кипения. Для ускорения восстановления в смесь добавляют раствор 5-10 г сульфита натрия в минимальном количестве воды, после чего она приобретает светлый желто-зеленый цвет. Затем колбу соединяют с прибором и через капельную воронку при одновременном пропускании водяного пара начинают маленькими порциями вводить диазораствор. Предварительно из диазораствора надо удалить избыток нитрита введением в него сухой мочевины до прекращения выделения газов. Во время перегонки основная часть диазораствора должна находится в охлаждаемом льдом стакане.
Смесь п-бромтолуола и побочно образующегося п-крезола отгоняется с водяным паром в виде окрашенного масла, которое иногда застывает. При длительном стоянии происходит полное расслаивание органического вещества (нижний слой) и воды. Полученное масло трижды промывают 20 мл 20%-ного раствора щелочи, переносят в небольшую делительную воронку и обрабатывают несколько раз небольшими порциями концентрированной серной кислоты, до тех пор, пока последняя не перестанет окрашиватся. Полученный п-бромтолуол отделяют от серной кислоты и перегоняют из колбы Вюрца с воздушным холодильником. Выход около 25 г (70% от теоретического). Т.кип. 183-185 С при 755 мм.рт.ст.; т.пл. 25-26 С.
Метод получения 2.
(лабораторный синтез)Источник информации: Гитис С.С., Глаз А.И., Иванов А.В. "Практикум по органической химии: Органический синтез" М.: Высшая школа, 1991 стр. 145

В тщательно высушенную двухгорлую колбу, снабженную обратным холодильником и капельной воронкой, вносят кристаллик иода, 0,2 г предварительно обезжиренных железных опилок, 10 мл толуола и по каплям 5 мл брома. Реакция начинается через несколько минут. Ее течение регулируют, погружая колбу в горячую или холодную воду. Бромистый водород, выделяющийся в реакции, отводят из холодильника через трубку, соединенную с воронкой, опрокинутой в стакан над водой.
После окончания реакции смесь перегоняют с водяным паром до тех пор, пока не перестанет собиратся на дне приемника тяжелая маслянистая жидкость. Ее отделяют с помощью делительной воронки и сушат, нагревая на водяной бане с безводным хлоридом кальция. Охладив продукт до комнатной температуры, его отделяют от затвердевшего кристаллогидрата хлорида кальция и перегоняют, собирая фракцию, кипящую около 180 С. Полученную жидкость охлаждают смесью льда и соли и слегка потирают стенки колбы стеклянной палочкой для ускорения кристаллизации. Образовавшиеся кристаллы п-бромтолуола от маслянистой части на воронке Бюхнера. Выход 5-6 г (33-40% от теоретического).
Плотность:
1,3898 (20°C, г/см3)Показатель преломления (для D-линии натрия):
1,549 (20°C)- Рабинович В.А., Хавин З.Я. "Краткий химический справочник" Л.: Химия, 1977 стр. 132