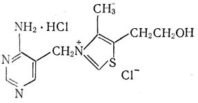
Тиамин; витамин B1; анейрин

Применяется в медицине.
Физические свойства. Кристаллы. Т. плавл. 233—234° и 250—252° (диморфизм). Хорошо растворим в воде, плохо — в спирте.
Токсическое действие. При контакте с пылью обнаружено снижение обоняния у 15,7% работающих при стаже работы до 4 лет и у 24% при стаже от 4 до 7 лет. Найдено также изменение возбудимости вестибулярного аппарата как проявление общего астено-вегетативного синдрома. У 14% обследованных аппаратчиц и фасовщиц тиамина на фармзаводе небольшие изменения со стороны нервной системы, повышение содержания тиамина в крови и поражения кожных покровов. Из 337 лиц, имевших контакт с тиамином (одновременно с никотиновой кислотой), у 112 — кожные поражения (Горбовицкий и др.; Бурыкина). Среди лекарственных препаратов тиамина по способности вызывать дерматит у среднего медперсонала стоит на втором месте после аминазина (Федорович).
Предельно допустимая концентрация. Рекомендуется 3,0 мг/м3 (Гук).
Индивидуальная защита. Меры предупреждения. Защита органов дыхания от пыли тиамина. Спецодежда и нательное белье, сменяемые ежедневно. Душ после работы, особенно после пылящих операций (фасовка и т. п.). Оборудование ингалятория. См. также «Правила и нормы техники безопасности и промышленной санитарии для проектирования, строительства и эксплуатации производства витаминных препаратов», Белгород, 1964.
Μ = 337,29