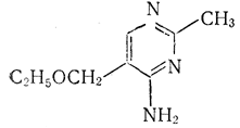
2-Метил-4-амино-5-этоксиметилпиримидин

Применяется в фармацевтической промышленности при синтезе витамина В1.
Физические свойства. Белые кристаллы. Т. плавл. 90°. Хорошо растворим в воде. Мало летуч.
Токсическое действие. При вдыхании белыми крысами в течение 4 ч смеси аэрозоля (40%) и паров (60%) в суммарной концентрации 0,022 и 0,062 мг/л — урежение дыхания и нарушение сперматогенеза. Вдыхание по 4 ч в течение 6 месяцев суммарной концентрации 0,011 мг/л (70% аэрозоль, 30% пары) привело к колебаниям прироста массы тела, показателей функционального состояния нервной системы, частоты дыхания, нарушению сперматогенеза и функций печени и почек [80, с. 63].
Предельно допустимая концентрация 1 мг/м3 [51].
Введенный в токсических дозах 2-аминопиримидин (2-амино-1,3-диазин) вызывает у белых крыс, морских свинок и кроликов истощение, гастроэнтериты, повреждение печени и селезенки, но вдыхание в течение 3 недель по 7 ч в день аэрозоля в концентрации 260 мг/м3 не вызвало признаков отравления (Тrеоn
Μ = 236,36
Μ = 167,22
et al.). Бромаминопиримидин обладает прижигающим и сенсибилизирующим кожу действием (Федорович).