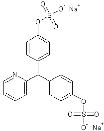
Натрия пикосульфат

Брутто-формула (система Хилла): C18H13NNa2O8S2
CAS №: 10040-45-6
Молекулярная масса (в а.е.м.): 481,40726
Применение:
Лекарственное средство: слабительное.
- "Регистр лекарственных средств России: Энциклопедия лекарств" 8-е изд., М., 2001 стр. 595
Источники информации:
Синонимы/примеры:*
Пикосульфат натрия; Пикосульфат натрия моногидрат; Натрия пикосульфат моногидрат; Лавакол; Пиколакс; Гутталакс; Слабилен; Регулакс
*подобраны ИИ, возможны неточности
Ещё по теме
Натрия фосфат — свойства и применение
Натрия фосфат — применение и противопоказания
Натрия тиосульфат — описание, применение, показания и противопоказания
Натрия сульфат — информация и применение
Натрия тиосульфат — характеристики и применение
Натрия тиосульфат — свойства и применение
Натрия сульфат — свойства и применение
Тиосульфат натрия — свойства и применение