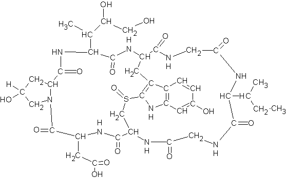
Бета-аманитин

бета-аманитин

Брутто-формула (система Хилла): C39H53N9O15S

Молекулярная масса (в а.е.м.): 919,95442

Летальная доза (ЛД50, в мг/кг):

3 (мыши, перорально)

    Источники информации:

  1. "Химическая энциклопедия" т.5 М.: Советская энциклопедия, 1999 стр. 529
Синонимы/примеры:* Альфа-аманитин; Аманитин
*подобраны ИИ, возможны неточности