1,8-бис((3-диметилкарбамоксипиридил-2-метил)диметиламмоний)октана дибромид

Синонимы:
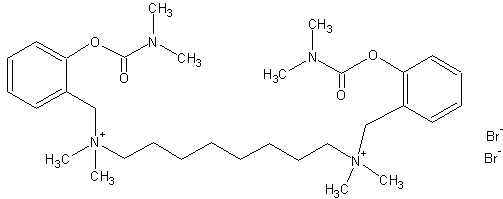
EA 3990Брутто-формула (система Хилла): C32H52Br2N4O4
Молекулярная масса (в а.е.м.): 716,59
Температура плавления (в °C): 190
Растворимость (в г/100 г или характеристика):
вода: растворимметанол: растворим
этанол: растворим
Летальная доза (ЛД50, в мг/кг):
0,0026 (кролики, внутривенно)0,0063 (мыши, внутривенно)
- Патент США US4,677,204 (от 30.07.1987)
Источники информации:
Синонимы/примеры:*
Гексафлуоний; Гексафлуоний бромид
*подобраны ИИ, возможны неточности
Ещё по теме
Бензогексоний — описание и характеристики химического вещества
Свойства 1.3-диметилциклобутана