Щавелевоуксусной кислоты диэтиловый эфир

Внешний вид:
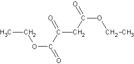
бесцветн. жидкостьФормула в виде текста: C2H5OC(O)CH2COCOOC2H5
Молекулярная масса (в а.е.м.): 188,18
Метод получения 1.
(лабораторный синтез)Источник информации: Прянишников Н.Д. "Практикум по органической химии" М. 1956 стр. 181-182

Реакцию проводят в круглодонной колбе с обратным холодильником и капельной воронкой. В круглодонную колбу емкостью 250 мл помещают 80 мл абсолютного эфира и вносят тонко нарезанный металлический натрий (24 г), очищенный от корки окислов. Прибавляют диэтилоксалат (15 г) и затем через капельную воронку медленно, по каплям, приливают хорошо высушенный уксусноэтиловый эфир (10,8 г); реакция начинается сама собой. После того как весь уксусноэтиловый эфир прибавлен, реакционную смесь нагревают на водяной бане при 30 С до тех пор, пока весь натрий не растворится (на что требуется около 1,5 часа), и оставляют стоять в течение ночи. На другой день выделившийся в виде желтой массы натрий-щавелевоуксусный эфир отсасывают на воронке Бюхнера и промывают небольшим количеством сухого эфира. Затем смешивают натрийщавелевоуксусный эфир с небольшим количеством воды, прибавляют несколько кусочков льда и подкисляют 10%-ным раствором серной кислоты. Раствор переливают в делительную воронку и 4 раза извлекают эфиром, беря в первый раз 25 мл эфира и затем 3 раза по 15 мл. Соединенные эфирные вытяжки промывают 5 мл 10%-ного раствора углекислого натрия, затем два раза водой (10 и 5 мл) и сушат хлористым кальцием. Высушенный раствор фильтруют через небольшой складчатый фильтр, переливают в колбу Кляйзена и отгоняют эфир на водяной бане. Оставшийся в колбе щавелевоуксусный эфир перегоняют в вакууме.
Выход около 15 г.