Бициклические терпены . А-74
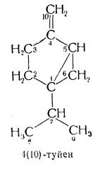
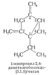
74.1. — Бициклические терпеновые углеводороды, имеющие скелет формулы II или такой же скелет и дополнительные боковые цепи, кроме входящих в этот скелет метила и изопропила (или метилена — если одна метиленовая группа уже имеется), называют как туйан, туйен, туйадиен и т. д. и нумеруют по системе, принятой для туйана (формула II). Другие углеводороды с кольцевым скелетом туйана получают название от бицикло[3.1.0]гексана и нумерацию в них ведут по системе, принятой для бициклосоединений (см. правило А—31).
Примеры:



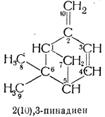
74.2. — Бициклические терпеновые углеводороды, имеющие скелеты формул III, IV или V и, кроме метила (или метилена — если одна метиленовая группа уже имеется}, дополнительные боковые цепи, называют соответственно: каран, карен, карадиен и т. д.; пинан, пинен, пинадиен и т. д.; борнан, борнен, борнадиен и г. д. Их нумеруют как установлено, соответственно, для карана (формула III), пинана (формула IV) и борнана (формула V). Другие углеводороды, содержащие кольцевой скелет карана, пинана или борнана, получают названия соответственно от норкарана (формула VI), норпинана (формула VII) или норборнана (формула VIII). Эти названия более предпочтительны, чем названия от бицикло[4.1.0]гептана, бицикло[3.1.1]гептана или бицикло[2.2.1]гептана. Соединения с нор-названиями нумеруют по системе, принятой для бициклосоединений (см. правило А—31).
Примеры:









74.3. — Название камфен сохраняется для незамещенного 2,2-диметил-3-метиленнорборнана,
