А - 34
(вариант правила А—35)
34.1. — Полициклические углеводородные системы, которые, согласно правилу А—21, можно рассматривать как орто-конденсированные или орто- и пери-конденсированные и имеющие в то же время другие мостики, которые можно рассматривать как заместители, называют, приняв за основу орто- или орто- и пери-конденсированную систему. Дополнительные мостики — заместители обозначают затем префиксами, образованными из названия соответствующего углеводорода заменой окончания -ан, -ен и т. д. окончаниями -ано, -ено и т. д.; положение мостиков указывается номерами точек присоединения к основной системе. Если имеются мостики различных типов, их перечисляют в алфавитном порядке.
Примеры названий мостиков:
бензено- (о-, м-, п-) —СбН4—
бутано- — СН2—СН2—СН2—СН2—
метано- —СН2—
пропано- —СН2—СН2—СН2—
этано- —СН2—СН2—
этено- —СН=СН— Примеры:



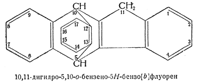
34.2. — Основную орто- или орто- и пери-конденсированную систему нумеруют, как указано в правиле А—22. Если есть возможность выбора, узловые атомы мостика должны быть обозначены наиболее низкими номерами. Сами мостики затем нумеруют поочередно, начиная каждый раз от мостикового атома, ближайшего к узлу, имеющему наибольший номер.
Пример:


34.3. — Если основная структура оставляет возможность выбора начала и направления нумерации, наиболее низкие номера должны быть даны узлам мостиков в том порядке, в каком эти мостики перечисляются. Атомы, образующие мостики, нумеруют в соответствии с предыдущим правилом.

34.4. — Если мостик образован двухвалентным циклическим углеводородным радикалом, низшие номера в нем должны быть даны атомам углерода, составляющим кратчайший путь между атомами основной структуры, а далее нумерацию ведут вокруг кольца.
Пример:
