А— 23
23.1. — Названия орто-конденсированных или орто- и пери-конденсированных полициклических углеводородов, в которых число некумулированных двойных связей меньше максимально возможного, образуют с помощью префикса дигидро-, тетрагидро- и т. д., за которым следует название соответствующего невосстановленного углеводорода. Префикс пергидро- обозначает полную гидрогенизацию. Если есть возможность выбора, то в качестве атома с «обозначенным водородом» (см. правило А—21.6) должен быть принят атом, по возможности, с наиболее низким номером.
Примеры:





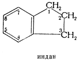
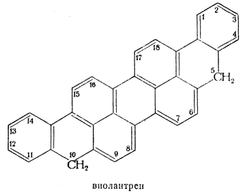
Исключения — сохраняются следующие названия частично гидрированных систем:







23.2. — Если есть выбор, углеродные атомы с большим числом атомов водорода должны быть обозначены возможно более низкими номерами. Пример:


23.3. — Замещенные полициклические углеводороды называют в соответствии с теми же принципами, что и замещенные моноциклические углеводороды (см. правила А—12 и А—61),
23.5 (вариант части правила А—23.1). — Названия орто-конденсированных полициклических углеводородов, в которых (а) число некумулированных двойных связей меньше максимально возможного, (b) один из компонентов наиболее удобно рассматривать как ненасыщенное производное циклоалкана, принятого за основу, и (с) имеется двойная связь в месте сращения колец, могут быть образованы присоединением к названию основного компонента названия другого компонента с использованием связующего «о». Сокращения, принятые для конденсированных ароматических систем, приведенные в правиле А—21.4, применяются и в этих случаях так же, как исключения, указанные в правиле А—23.1.
Примеры:


