Ареновые комплексы переходных металлов

АРЕНОВЫЕ КОМПЛЕКСЫ ПЕРЕХОДНЫХ МЕТАЛЛОВ,1037-22.jpgкомплексы, содержащие одно или два ароматич. кольца (Арен) в кач-ве нейтральных шестиэлектронных донорных лигандов, занимающих по 3 координац. места. Известны для всех переходных металлов IV-VIII групп. Существуют гомолигандные диареновые соед. (ф-ла I) и многочисленные гетеролигандные моноареновые соед. (напр., ф-лы II), в т.ч. сэндвичевые (напр., ф-лы III Известны также: [Арен V(CO)4]+ PF6-, [(Арен)2 МР(СН3)3] (М = Zr, Hf), мостиковые димерные соед. [Арен МС12]2 (М = Ru, Os) и др. Ареновыми лигандами служат бензол и его производные, полиядерные ароматич. соединения. При координации с металлом ароматич. кольца почти всегда сохраняют плоское строение.
1037-23.jpg

Ареновые комплексы переходных металлов, как правило, кристаллич. в-ва. Их термич. разложение приводит к отщеплению лигандов и образованию металлич. "зеркала". Р-ции ареновых комплексов переходных металлов могут быть связаны с превращениями центр. атома металла или лигандов. Первые представлены гл. обр. окислит.-восстанови г. процессами и свойственны преим. диареновым комплексам, напр.:
1037-24.jpg

Известны случаи протонирования по металлу, напр.:
1037-25.jpg

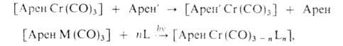
Для большинства ареновых комплексов переходных металлов характерен обмен лигандов, в т.ч. ареновых:
1037-26.jpg

где M = Cr, Mo, W; L = RNH2, RCN, R3P, олефины и др. Р-ции замещения в ареновом лиганде особенно свойственны комплексам [Арен Сг(СО)3], для к-рых описаны: электроф. замещение водорода (меркурирование, ацилирование, дейтерирование в кислой среде); металлированне (с помощью C4H9Li); нуклеоф. замещение галогена: [(HalC6H5)Cr(CO)3] + MX -> [(XC6H5)Cr(CO)3] + MHal, где Hal = Cl, F; X = RNH, R2N, RO; М = Н, Na. Диареновые комплексы в условиях электроф. замещения окисляются, а их катионы в эти р-ции не вступают. Для [(Арен)2 Сг] описано металлиро вание (с помощью C4H9Li или C5HnNa) и протофильный дейтерообмен. Катионы [(Арен)2Сг] + тоже претерпевают протофильный дейтерообмен и нуклеоф. замещение галогена. Описано электроф. аци-лирование [C6H6ReC5H5] (с помощью СН3СОС1/А1С13) в оба лиганда. Комплексы [АренРеС5Н4На1]+BF4 легко обменивают галогены как в шести-, так и в пятичленном лиганде на нуклеоф. группы (NH2, RO, RS, CN и др.). Специфическая р-ция ареновых катионных комплексов - нуклеоф. присоединение к ареновому лиганду, напр.:
1037-27.jpg

где Арен Н - неплоский циклогексадиенильный лиганд. Р-ции функц. групп в координированном ареновом кольце аналогичны р-циям соответствующих заместителей в своб. аренах.

Комплексы типа [(Арен)2 М]n+, где М = V, Cr, Mo, W, Тс, Re, Fe, Ru, Co, Rh, Ni, получают обычно методом Фишера, т.е. взаимод. соли переходного металла с ареном в присут. восстановителя (А1-пыль) и катализатора (А1С13, А1Вr3), напр.:

1037-28.jpg

Жесткие условия этой р-ции и агрессивность А1На13 позволяют использовать ее практически только для ароматич. углеводородов, но и в этом случае наблюдаются побочные процессы. Все большее значение приобретает синтез [(Арен)2М] соконденсадией паров металлов и аренов. Метод требует дорогой аппаратуры, но не имеет таких ограничений, как метод Фишера. Им получены недоступные иным путем диареновые производные Ti, Zr, Hf, Nb и Та. Подавляющее большинство аренкарбонильных, часть аренциклопентадиенильных и др. гетеролигандных комплексов получают обменом лигандов:
1037-29.jpg

Ареновые комплексы переходных металлов применяют для нанесения металлич. покрытий (пиролизом в вакууме) и для получения особо чистых металлов, а также как катализаторы полимеризации олефинов и диолефинов.

Литература

Волькенау Н.А., в кн.: Методы элемснтоорганической химии.1037-30.jpg Комплексы переходных металлов с диенами, аренами, соединениями с ст-связью М—С. М., 1976, с. 127-228. Н. А. Волькенау.