м-Нитробензолсульфокислота
м-НИТРОБЕНЗОЛСУЛЬФОКИСЛОТА (3-нитробензол-сульфокислота), ф-ла I, мол. м. 203,17; бесцв. кристаллы; т. пл. 70°С; гигроскопична; хорошо раств. в воде, этаноле. Со щелочными и щел.-зем. металлами образует р-римые в воде соли; р-римость при 25 °С для К-соли 3,04%, для Рb-соли 6,09%.

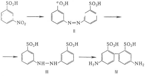
м-Нитробензолсульфокислота обладает св-вами ароматич. нитросоединений и бензолсульфокислот. С SOCl2 при 70 °С образует соответствующий ангидрид (т. пл. 130-140°С) с примесью сульфохлорида (т. пл. 142 °С), при 180-200 °С превращ. в м-дихлорбензол. К-соль м-нитробензолсульфокислоты с РСl5 при 100 °С превращ. в 3-нитробензолсульфохлорид (т. пл. 63-64 °С), Na-соль со смесью РВr3 и РВr5-в бис-(3-нитрофенил)дисульфид. м-Нитробензолсульфокислота легко восстанавливается под действием разл. агентов. Так, действие Fe в H2SO4, гидразина в водно-спиртовой щелочи и каталитич. гидриро-вание в присут. Pd или Ni приводит к 3-аминобензолсуль-фокислоте (метаниловой к-те); восстановление Аl в разб. H2SO4 при 100°С-к 5-амино-2-гидроксибензолсульфокис-лоте. Сероводородом в р-ре NaHS или Zn в р-ре щелочи м-нитробензолсульфокислота восстанавливается сначала до азобензол-3,3'-дисульфокис-лоты (ф-ла II), а затем до гидразобензол-3,3'-дисулъфо-кислоты (III); последняя под действием конц. НСl при 20 °С перегруппировывается в бензидин-2,2'-дисульфокислоту (IV):

м-Нитробензолсульфокислота-окислитель; окислит.-восстановит. потенциал в воде при 24 °С составляет: 0,06 В (рН 0,76); 0,03 В (рН 3,76); -0,06 В (рН 6,77); -0,18 В (рН 9,6); -0,31 В (рН 11,8).
Получают м-нитробензолсульфокислоту в виде Na-соли (лудигола) сульфированием нитробензола 25%-ным олеумом при 70 °С с послед. выса-ливанием. Нитробензол-3-сульфохлорид синтезируют хлорированием нитробензола хлорсульфоновой к-той.
м-Нитробензолсульфокислота-полупродукт в произ-ве метаниловой к-ты, бензи-дин-2,2'-дисульфокислоты, нек-рых лек. препаратов; окислитель в произ-ве красителей, фотографии. Т. самовоспл. лудигола 380 °С; ПДК 109 г/м3 Сульфохлорид м-нитробензолсульфокислоты применяют в произ-ве 3-аминобензолсульфамида.
Лит. см. при ст. Бензолсульфокислоты. Н. Б. Карпова.