Электрокристаллизация

ЭЛЕКТРОКРИСТАЛЛИЗАЦИЯ, образование и рост кристаллов в объеме р-ра (расплава) или на пов-сти электрода в результате протекания электрохим. р-ции. Является фазовым переходом I рода. Имеет много общего с кристаллизацией из пара и р-ра, но в отличие от этого процесса в условиях электрокристаллизации происходит акт переноса заряда, к-рый предшествует встраиванию атомов в места роста кристаллов или протекает одновременно с ним.
Различают гомогенную и гетерогенную электрохим. нуклеацию, т. е. зарождение кристаллов новой фазы. Первая имеет место, напр., при восстановлении ионов в объеме р-ра с образованием коллоидных частиц, вторая - при восстановлении ионов на пов-сти электрода. Зарождению кристаллов на пов-сти электрода может предшествовать образование слоев адсорбир. атомов (адатомов) осаждаемого в-ва, чаще всего металла. Возникновение моноатомных (иногда двух- и трехатомных) слоев происходит при электродных потенциалах, на неск. десятков мВ положительнее равновесного. Степень заполнения пов-сти адсорбир. атомами влияет на скорость зарождения кристаллов новой фазы (число зародышей в единице объема, образующихся за единицу времени).
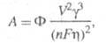
Зарождение кристаллов в условиях электрокристаллизации требует превышения электрохим. потенциала системы6031-29.jpg пропорционального перенапряжению6031-30.jpg(см.. Поляризация);6031-31.jpg где п-число участвующих в р-ции электронов; F - постоянная Фарадея. Нуклеация в объеме р-ра или на пов-сти инертного электрода начинается путем образования трехмерных зародышей, т. е. частиц, размеры к-рых соизмеримы по всем кристаллографич. направлениям. Для малых6031-32.jpg кинетика электрохим. нуклеации описывается классич. флуктуационной теорией, согласно к-рой в результате флуктуац. процессов присоединения и отрыва частиц в маточной среде возникает набор кластеров, распределенных по размерам (см. Зарождение новой фазы). Частоты присоединения и отрыва частиц для электрохим. систем определяются величиной6031-33.jpg зависят от кривизны пов-сти кластеров и адсорбционных характеристик. Вероятность возникновения кластера данного размера определяется законом распределения Больцмана, а кинетика - частотами присоединения и отрыва частиц. Кластер, присоединение атома к к-рому делает его устойчивым к дальнейшему росту при данном перенапряжении, наз. критич. зародышем, работа образования к-рого для гомогенного зарождения равна:

6031-34.jpg

где Ф - фактор формы зародыша; V- молярный объем кристаллич. фазы;6031-35.jpg- уд. межфазная поверхностная энергия.
Соответственно скорость зарождения кристалла / при т-ре Т описывается ур-нием:

I = к ехр(-A/kT),

где k - постоянная Больцмана. Для систем с высокими значениями тока обмена (электроды из Ag, Pb, Hg) в небольших интервалах изменений6031-36.jpgкоэф. к остается постоянной величиной и наблюдается линейная зависимость lgI от6031-37.jpg С ростом6031-38.jpg размер критич. зародыша уменьшается и при высоких6031-39.jpg зародыш может состоять из единичных атомов. В этом случае использование значения6031-40.jpgв ур-нии для А становится некорректным, кинетика электрохим. нуклеации описывается атомистич. теорией, согласно к-рой скорость образования зародышей и число атомов в зародыше дискретно изменяются с ростом6031-41.jpg Число атомов в зародыше остается неизменным в нек-ром интервале значений6031-42.jpg


Критич. зародыши образуются на активных центрах пов-сти электрода. Такими центрами м. б. поры в оксидной пленке, выходы винтовых дислокаций, вакансии, изломы на ступенях роста и др. энергетич. неоднородности пов-сти. Число активных центров, участвующих в процессе электрохим. нуклеации, возрастает с увеличением6031-43.jpg Вокруг возникшего и растущего кристалла образуются зоны экранирования ("дворики роста"), в к-рых нуклеации не происходит. Радиус зон экранирования уменьшается с ростом6031-44.jpg Постепенно происходит исчерпание числа свободных активных центров и прекращение зарождения новых кристаллов, наступает насыщение. Адсорбция примесей из р-ра на электроде снижает число активных центров и, соотв., общее число зародышей. Стадия зарождения кристаллов определяет в конечном итоге осн. физ.-мех. св-ва гальванич. покрытий, в т.ч. их пористость.
На атомногладкой грани кристалла его рост происходит путем образования двумерного критич. зародыша и его последующего разрастания. Возникновение двумерного зародыша требует определенного перенапряжения6031-45.jpg связанного с возникновением новой пов-сти - ступени роста и, соотв., избыточной краевой энергии. Распространение растущего слоя по пов-сти грани происходит тангенциально, путем присоединения атомов к местам роста (изломам на ступени). Такая электрокристаллизация наблюдается на бездислокационных гранях монокристаллов Ag, полученных электролизом в капиллярах. При повышении6031-46.jpg по грани распространяются многослойные "пакеты роста".
На гранях, имеющих выходы винтовых дислокаций и вследствие этого неисчезающую ступень, распространение слоев при электрокристаллизации происходит в виде спирали, путем присоединения атомов к ступени роста. Грань (или ее часть) принимает форму пирамиды. Чем выше6031-47.jpg тем меньше угол при вершине пирамиды. Подобная электрокристаллизация по дислокационному механизму не требует затраты энергии на образование двумерных критич. зародышей.
При высоких6031-48.jpg равных 5-10 kT (150-300 мВ), становится возможным "нормальный" рост кристаллов, т. е. прямое присоединение атомов к пов-сти растущей грани в любой ее точке. Грани становятся шероховатыми, теряются такие св-ва кристалла, как устойчивость роста грани и анизотропия скоростей роста по разл. кристаллографич. направлениям. В результате кристаллы приобретают округлую форму.

Кинетика электрокристаллизации. Фазовый переход ион в р-ре6031-49.jpgатом в кристаллич. решетке металла протекает через ряд стадий: разряд иона с образованием адатомов, их поверхностная диффузия к месту роста и встраивание в кристаллич. решетку. Каждая из стадий может определять скорость процесса. При низких перенапряжениях (< 30 мВ) для Сu и Ag скорость процесса определяется поверхностной диффузией, при более высоких перенапряжениях - стадией переноса заряда. Адатомы могут нести нек-рый электрич. заряд вследствие частичного разряда ионов. Вероятность разряда иона непосредственно в месте роста или на пов-сти грани с последующей диффузией адатомов к месту роста зависит от концентрации ионов в р-ре, энергии их десольватации и энергии связи атомов в кристаллич. решетке. Предполагается, что преимущественный разряд ионов в месте роста может происходить при энергии сублинации (характеризующей энергию связи атомов в решетке) более 300 Дж/моль.
Формы роста кристаллов определяются относит. пересыщением р-ра, к-рое в условиях электрокристаллизации соответствует величине6031-50.jpg— 1(R - газовая постоянная), а также концентрацией разряжающихся ионов, условиями массопереноса, адсорбцией примесей. При малых плотностях тока через электрохим. ячейку и, соотв., низких перенапряжениях6031-51.jpg наблюдается рост единичных кристаллов, в частности нитевидных. Кол-во металла, выделяющегося на единице площади пов-сти растущих граней при электролизе, сохраняется постоянным при разл. величинах силы тока и, соотв., общая площадь растущих граней подстраивается к заданной плотности тока. Быстро растущие грани кристаллов вырождаются в процессе роста, кристалл оказывается оформленным медленно растущими гранями. В отсутствие примесей кристаллы с гранецентрир. или объемноцентрир. кубич. решетками обычно оформлены гранями (111), (100), (110).
При малых концентрациях ионов в р-ре массоперенос к растущей пов-сти играет главенствующую роль в определении морфологии роста кристаллов при электрокристаллизации. Высокие плотности тока обеспечивают перенапряжение, достаточное для роста боковых граней нитевидного кристалла, на катоде возникают дендриты. Адсорбция и соосаждение примесей тормозят линейный рост кристаллов, вызывают искажение кристаллич. решетки и понижают устойчивость фронта роста граней, способствуют образованию на электроде соматоидных структур. При больших концентрациях соосаждающихся примесей (Р, В, S и др.) кристаллич. решетка оказывается предельно нарушенной, возникают системы аморфного строения - металлич. стекла.
Электрокристаллизация- уникальный метод для изучения механизма зарождения и роста кристаллов, т. к. позволяет изменять пересыщение в широких интервалах и по любой программе. Электрокристаллизация - основа многих электрохим. технологий, в т. ч. электролиза, гальванотехники. Осаждение металлов из разбавленных р-ров в условиях роста дендритов используют для получения порошков Сu, Ni, Fe и др. (см. также Электроосаждение).

Лит.: Горбунова К.М., Данков П.Д., "Успехи химии", 1948, т. 17, с. 710-32; Феттер К., Электрохимическая кинетика, пер. с нем., М., 1967; Каишев Р., Избранные труды, София, 1980; Данилов А.И., Полукаров Ю.М., "Успехи химии", 1987, т. 56, в. 7, с. 1082-1104.

Ю. М. Полукаров.