Циклоазохром
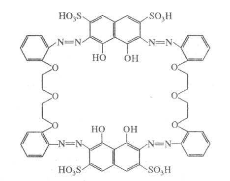
ЦИКЛОАЗОХРОМ (ЦАХ, го-ЦАХ, гексаоксациклоазохром), мол. м. 1149,01; синий порошок, реагент для спектрофотометрич. определения свинца Определение проводят в 0,01-0,06 М р-ре НС1, HNO3 или H2SO4. Раствор циклоазохрома имеет синюю окраску (
640 нм), комплекса со Рb - изумрудно-зеленую (
720 нм, e 1,5-105). Определению не мешают Hg, Ag, As(V), Cd, Sb(III), Zn, In, тартраты, цитраты, фториды, сульфосалициловая к-та. Предел обнаружения до 2 мкг/л.
Циклоазохром получают азосочетанием диазониевого производного бис-(2-аминофенилового) эфира с хромотроповой к-той в щелочной среде.
Лит.: Петрова Т. В. [и др.], "Ж. аналит. химии", 1988, т. 43, № 12, с. 2221-28.
А. В. Михайлова.
Синонимы/примеры:*
Циклоазохром; 1-(2-циклогексилэтил)-6-метил-1,2,3,4-тетрагидрохиназолин-2,4-дион
*подобраны ИИ, возможны неточности
Ещё по теме
Цитохром С — свойства и применение
Методы количественного определения ртути в химико-токсикологическом анализе
Цинка фосфид — характеристики и особенности
Гранозан — состав и методы анализа
Роль цитохромов в организме
Циклохлоротин — что нужно знать об этом веществе
Хромометрия — метод титриметрического анализа
Экстракционно-фотоколориметрическое определение меди
Хризоидин — свойства и применение
Цинк дихлорид — свойства и применение опасного вещества