Ибупрофeн
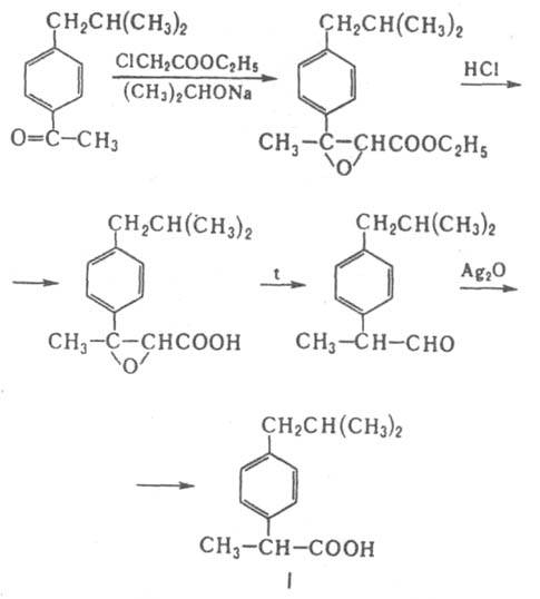
ИБУПРОФEН [2-(4-изобутилфенил) пропионовая к-та, бруфен, мотрин, ф-ла I], бесцв. кристаллы; т. пл. 75-77 °С; раств. в этаноле и др. орг. р-рителях, не раств. в воде. Получают из n-изобутилацетофенона по схеме:
Ибупрофен обладает противовоспалит., анальгетич. и жаропонижающим действием. Г. Я. Шварц.
*Подобраны с помощью LLM, верифицированы, но возможны неточности.
Синонимы/примеры:*
Бруфен; Нурофен; Адвил; Мотрин; Ибупром
*подобраны ИИ, возможны неточности
Ещё по теме
Ибупрофен — свойства и применение
Ибупрофен — инструкция по применению
Ибупрофен — инструкция по применению и особенности препарата
Ибупрофен — инструкция по применению
Ибупрофен — всё, что нужно знать
Ибупрофен — инструкция по применению
Ибупрофен — инструкция по применению
Ибупрофен-Тева — инструкция по применению
Ибупрофен — инструкция по применению
Ибупрофен — инструкция по применению
Ибупрофен — инструкция по применению
Ибупрофен — всё о препарате АПО-Ибупрофен
Ибупрофен — инструкция по применению
Ибупрофен — инструкция по применению
Ибупрофен — описание и свойства
Ибупрофен-АКОС — инструкция по применению
Ибупрофен — инструкция по применению
Ибупрофен — инструкция по применению
Ибупрофен Никомед — инструкция по применению
Ибупрофен — нестероидный противовоспалительный препарат (НПВП), ингибирующий циклооксигеназы ЦОГ-1 и ЦОГ-2, что снижает синтез простагландинов.