N,N-дифенил-N-пикрилгидразильный радикал

N,N-ДИФЕНИЛ-N-ПИКРИЛГИДРАЗИЛЬНЫЙ РАДИКАЛ (дифенилпикрилгидразил, ДФПГ), мол. м. 394,32; фиолетовые кристаллы с металлич. блеском;
081_100-46.jpg
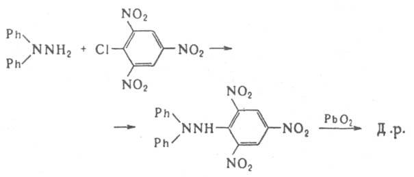
для одной из полиморфных модификаций т. пл. 137-138°С; m 16,4.10-30 Кл.м; легко раств. в орг. р-рителях. Длина трехэлектронной связи N—N 0,133 нм, фенильные заместители у атома N1 неэквивалентны. Более половины спиновой плотности локализовано на атомах N1 и N2, причем большая константа сверхтонкого взаимод. в спектре ЭПР отнесена к атому N2. N,N-Дифенил-N-пикрилгидразильный радикал получают по схеме:
081_100-47.jpg
N,N-Дифенил-N-пикрилгидразильный радикал не димеризуется, устойчив по отношению к О2; в р-рах фотохимически нестабилен. Используется как мягкое дегидрирующее ср-во, ингибитор радикальных р-ций и стандартное в-во для ЭПР-спектроскопии.

Синонимы/примеры:* DPPH; 2,2-дифенил-1-пикрилгидразил
*подобраны ИИ, возможны неточности