Димрота перегруппировка

ДИМРОТА ПЕРЕГРУППИРОВКА, изомеризация 1-замещенных 1,2-дигидро-2-иминопиримидинов под действием водных р-ров щелочей (обычно NaOH или NH4OH) в 2-замещенные аминопиримидины (амидиновая перегруппировка):
061_080-6.jpg
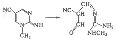
R = Alk, Ar, CH2COOR:; R' - Alk, Hal, NO2 и др. В неводных средах процесс осуществляется значительно медленнее. Электроноакцепторные заместители R и R' ускоряют перегруппировку; их влияние растет в ряду: СН3 < С2Н5 < С4Н9 < С7Н13 < СН2=СНСН2 < СН2С6Н5 < CH2C6H4NO2. В случае R' = CN наблюдается аномальное течение р-ции, напр.:
061_080-7.jpg
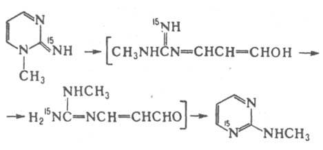
Механизм Димрота перегруппировки включает обмен местами атомов N в положении 1 и иминной группе:
061_080-8.jpg
Перегруппировку, подобную Димрота перегруппировке, претерпевают также нек-рые др. гетероароматич. соед., содержащие в положении 2 иминогруппу, напр.:
061_080-9.jpg
Перегруппировка открыта О. Димротом в 1909.
Литература
Brown D. J., Mechanisms of molecular migrations, v. 1, N. Y., 1968, p. 209-45. B. H. Kupuн.

Комментарии*

Дополнения к описанию перегруппировки Димрота:

  • Механизм представляет собой [3,3]-сигматропную перегруппировку через циклическое переходное состояние, что формально эквивалентно обмену атомами азота между положением 1 и иминогруппой.
  • Современное определение классифицирует её как перициклическую реакцию, специфичную для N-иминированных азотсодержащих гетероциклов.
  • Область применения особенно важна в синтезе модифицированных нуклеозидов и гетероциклических соединений для фармацевтики.
  • Интересный факт: Эта перегруппировка является одним из классических примеров псевдоароматического перехода в химии гетероциклов.
*Подобраны с помощью LLM, верифицированы, но возможны неточности.